5 svar
797 visningar
jonte12 472
Postad: 30 dec 2022 21:04

Tangentplan ekvation

Jag förstår inte när jag ska använda tangentplanets ekvation eller den andra "vanliga" formeln för planets ekvation. 

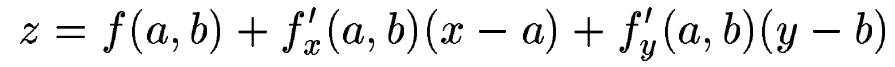
Ex här ska man använda tangentplanetsekvation(

):

"Bestäm tangentplanet till grafen för f(x,y)=x2+xy3 i den punkt på grafen där x=-1 och y=2"

Och här den vanliga planets ekvation( (a,b,c)·((x,y,z)-(a,b,c))=0):

"Låt f(x,y,z)=xy+exz. Bestäm tangentplanet i punkten (x,y,z) =(1,2,0) till nivåytan f(x,y,z)=3"

Analys 1246
Postad: 30 dec 2022 21:20

Hmm,

i första fallet är ju f=z en explicit funktion i x,y

i andra fallet finns ju ett implicit samband.

vad är vanliga planets ekvation?

jonte12 472
Postad: 30 dec 2022 21:22
Analys skrev:

Hmm,

i första fallet är ju f=z en explicit funktion i x,y

i andra fallet finns ju ett implicit samband.

vad är vanliga planets ekvation?

Denhär tänker jag på då (a,b,c)⋅((x,y,z)−(a,b,c))=0

PATENTERAMERA Online 7825
Postad: 30 dec 2022 23:41

Det skall nog vara n•((x, y, z) - (a, b, c)), där n är planets normalvektor.

jonte12 472
Postad: 31 dec 2022 09:33
PATENTERAMERA skrev:

Det skall nog vara n•((x, y, z) - (a, b, c)), där n är planets normalvektor.

Det stämmer

Analys 1246
Postad: 2 jan 2023 11:58

Kolla denna sida, ger svar på din fråga!

https://ocw.mit.edu/courses/18-02sc-multivariable-calculus-fall-2010/5ac021982a142a1524d3200d2659fe57_MIT18_02SC_we_17_comb.pdf

Svara
Close