Tänka kring uppgift utan miniräknare
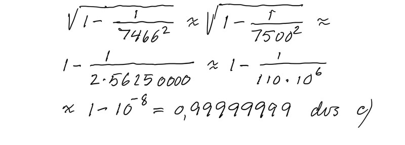
Om inte jag misstar mig så får man inte ha miniräknare på mafy, utan det är väl bara uppställning (svara ja om det är så). Jag kollade nämligen på en uppgift från fysikdelen 2014. Som ni ser på bilden. Jag vet hur man löser uppgiften, en ganska rak uppgift. Mitt sätt är att totala energin = viloenergin*gammafaktorn. Det gör att jag löst ut värdet på viloenergin och totala energin är given, så gamma faktorn löser jag ut och därefter variabeln v. Då får jag värdena att v=c√ (1-(1/7466^2)) Hur ska jag räkna detta eller resonera, för att få rätt svar när jag ej har tillgång till räknare? Känns som att uppställning krånglar till det i detta fallet.

Du borde nog kunna uppskatta decimalerna bara.
Jag tycker ingenting stämmer.
Tillägg: 12 okt 2024 16:55
Nu tycker jag det stämmer.
Jan Ragnar skrev:
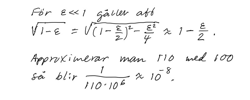
Kan du förtydliga steg 2 till 3, samt 4 till 5. Tack!

