3
svar
103
visningar
Saffe behöver inte mer hjälp
Tänker jag rätt? (Procent)

Tänker jag rätt? Finns det någon annan bättre teknik?
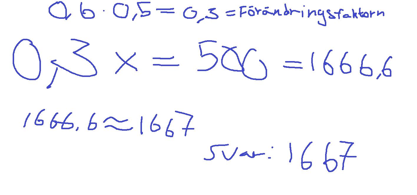
Pröva att börja med 1050 kr och multiplicera med förändringsfaktorerna 0,6 och 0,5.
Får du 500 kr då?
Antag i stället att jackan kostade x kr.
Skriv en ekvation med 500 i högerledet.

Tack så mycket för hjälpen hoppas detta stämmer! :)
Det stämmer. Men skriv inte 500 = 1666,6 för det stämmer ju inte. Enhet i svaret.
0,3x = 500
x = 500/0,3
x 1667
Svar: Jackan kostade 1667 kr från början.