14 svar
3249 visningar
Kombinatorik 357 – Fd. Medlem
Postad: 19 mar 2017 15:25 Redigerad: 19 mar 2017 16:00

Tärningar

Hej!

Uppgiften lyder:

"Hedvig kastar 4 tärningar. Hur stor är sannolikheten att hon får exakt tre sexor?"

 

Mitt lösningsförök:

p(exakt tre sexor) = 61·43·5164 där:

61 är antalet sätt att välja 1 valör bland 6 valörer.

43 är antalet sätt att välja 3 tärningar bland fyra tärningar.

51 är antalet sätt att välja 1 valör av de 5 resterande valörerna

64 är antalet möjliga utfall.

 

Varför får jag fel svar???

pbadziag 75 – Fd. Medlem
Postad: 19 mar 2017 15:36

Varför räknar du som du räknar? Antal möjliga val är som du skriver 64 men de gynnsamma valen är sådana där tre av fyra tärningar är bestämda för en sexa (tre av fyra kan du välja på 43  sätt). Den sista tärningen kan du välja på 5 sätt (alla utom en sexa). Hoppas att det räcker som ledtråd.

Kombinatorik 357 – Fd. Medlem
Postad: 19 mar 2017 15:40
pbadziag skrev :

Varför räknar du som du räknar? Antal möjliga val är som du skriver 64 men de gynnsamma valen är sådana där tre av fyra tärningar är bestämda för en sexa (tre av fyra kan du välja på 43  sätt). Den sista tärningen kan du välja på 5 sätt (alla utom en sexa). Hoppas att det räcker som ledtråd.

Det jag tänker när jag har med 6 över 1 är att när man ska ha en sexa är det samma som att välja en valör av sex valörer. Hur vet man att man ska inte räkna på det?

pbadziag 75 – Fd. Medlem
Postad: 19 mar 2017 15:58

Att välja en valör från sex valörer kan du på sex, dvs 61 sätt. Men nu skall du inte välja någon valör som helst; det skall bli en sexa och det kan du göra på ett sätt bara. I den sista tärningen har du fem valörer att välja och då är det fem möjligheter.

Kombinatorik 357 – Fd. Medlem
Postad: 19 mar 2017 16:03 Redigerad: 19 mar 2017 16:07
pbadziag skrev :

Att välja en valör från sex valörer kan du på sex, dvs 61 sätt. Men nu skall du inte välja någon valör som helst; det skall bli en sexa och det kan du göra på ett sätt bara. I den sista tärningen har du fem valörer att välja och då är det fem möjligheter.

Men varför får man rätt svar om man räknar på följande sätt istället: 43·163·56???

Där:

43 är antalet sätt att välja 3 tärningar bland 4 tärningar.

163 är sannolikheten att få 3 sexor.

56 är sannolikheten att få 5 valörer bland 6 möjliga.

pbadziag 75 – Fd. Medlem
Postad: 19 mar 2017 17:14

Tänk att det är samma som 43·5·164

HT-Borås 1287
Postad: 19 mar 2017 17:17

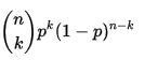
Det är den sannolikhetsfunktion som generellt svarar mot binomialfördelningen: Men tolkningen är precis den du anger. Binomialkoefficienten här blir ju 4 (det finns 4 sätt att en tärning inte är en sexa) och så sannolikheterna för 3 sexor och en icke-sexa.

Kombinatorik 357 – Fd. Medlem
Postad: 19 mar 2017 17:21
pbadziag skrev :

Tänk att det är samma som 43·5·164

Visst kan jag se att det blir samma svar med hjälp av siffrorna. MEN det jag inte förstår är varför man ha med termen (1/6)^3 och tolka det som sannolikheten att få 3 sexor MEDAN MAN INTE FÅR HA MED 6 över 1 då du säger att man måste ha med sexan och det finns bara ett sätt ???

Kombinatorik 357 – Fd. Medlem
Postad: 19 mar 2017 17:23 Redigerad: 19 mar 2017 17:24
HT-Borås skrev :

Det är den sannolikhetsfunktion som generellt svarar mot binomialfördelningen: Men tolkningen är precis den du anger. Binomialkoefficienten här blir ju 4 (det finns 4 sätt att en tärning inte är en sexa) och så sannolikheterna för 3 sexor och en icke-sexa.

1. Finns det någon härledning till denna funktion då jag inte har stött på eller hört talas om den? (den finns heller inte i formelsamlingen jag har)

2. Är p^3 = 5 då?

3. Blir p = 5^(1/3) ?

pbadziag 75 – Fd. Medlem
Postad: 19 mar 2017 17:29

Nej, räknar du enligt sannolikheter, då är p=1/6 (att få en sexa) och 1-p = 5/6 (att inte få en sexa)

Smaragdalena 78892 – Avstängd
Postad: 19 mar 2017 17:39
Kombinatorik skrev :...MEDAN MAN INTE FÅR HA MED 6 över 1 då du säger att man måste ha med sexan och det finns bara ett sätt ???

På hur många sätt kan du välja att få en sexa på en vanlig tärning? Bara ett, eller hur?!

Kombinatorik 357 – Fd. Medlem
Postad: 19 mar 2017 17:44
smaragdalena skrev :
Kombinatorik skrev :...MEDAN MAN INTE FÅR HA MED 6 över 1 då du säger att man måste ha med sexan och det finns bara ett sätt ???

På hur många sätt kan du välja att få en sexa på en vanlig tärning? Bara ett, eller hur?!

Man kan väl inte välja att få en sexa? Eller är det tänkt att man redan har förutbestämt att tärningen ska visa en sexa och då har man ju inte valt någonting, det vill säga 0? Det är därför jag tänker på 6 över 1.

Smaragdalena 78892 – Avstängd
Postad: 19 mar 2017 17:46

Jag formulerar om mig: På hur många olika sätt kan man få en sexa på en vanlig tärning? Bara ett!

Kombinatorik 357 – Fd. Medlem
Postad: 19 mar 2017 18:31
smaragdalena skrev :

Jag formulerar om mig: På hur många olika sätt kan man få en sexa på en vanlig tärning? Bara ett!

Borde inte sannolikheten bli 100% med tanke på att man ska få en sexa?

Smaragdalena 78892 – Avstängd
Postad: 19 mar 2017 18:42

Nu blandar du äpplen och päron. Jag frågar inte om sannolikheter (sannolikheten att slå en sexa på en vanlig tärning är 1/6), jag frågade på hur många olika sätt man kan slå en sexa. Om jag istället frågade på hur många olika sätt man kan slå ett ojämnt tal på en tärning, skulle svaret vara 3, eftersom 1, 3 och 5 uppfyller villkoren. (Sannolikheten att slå ett udda tal är 3/6 = 1/2.)

Svara
Close