1
svar
80
visningar
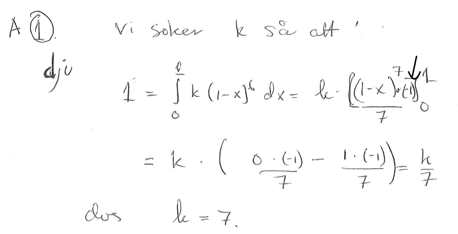
Täthetsfunktion
Hej,
Skulle någon vilja förklara vart (-1) i uträkningen kommer ifrån?


Den är den "inre primitiva funktionen". På motsvarande sätt som du får den inre derivatan.
Tillägg: 23 maj 2024 21:36
Testa att derivera det så ser du att det blir rätt.