1
svar
82
visningar
Taylor serie - Konvergensradie
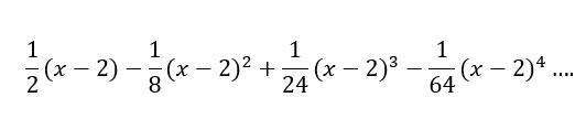
Min uppgift är att hitta Taylorserien för f(x) centrerad kring det givna värdet a=2, och sedan ta fram konvergensradien R.
f(x)=lnx
Jag fick fram serien:

Omskriven

Det jag skulle behöva hjälp med är hur jag ska få fram R, har tidigare använt mig mycket av kvot kriteriet men det kändes som det inte skulle fungera med Ln2?
Konvergensradien ändras inte om du deriverar funktionen, och derivatan är nog lättare att jobba med.