Taylor serier
Skulle behöva hjälp att komma igång med en uppgift om Taylor serier. Man ska använda definitionen av vad en Taylorserie är för att hitta de fyra första icke noll termerna av serien.
f(x)=x* ex
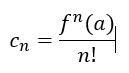
Som jag har förstått det definieras en Taylorserie enligt följande:


där cn är koefficienten. Jag fick ett givet a=0. Jag förstår inte hur jag hittar min koefficient cn? Jag har ju ett f(x) givet men vet inte hur jag förstår inte hur jag tillämpar det till formeln?
Du får antingen derivera f(x) ett par gånger, eller använda en känd serieutveckling för ex.
När de skriver fn så menar de den n:te derivatan av f, inte f upphöjt till n.
Dr. G skrev:Du får antingen derivera f(x) ett par gånger, eller använda en känd serieutveckling för ex.
Aa, tack!