Taylorpolynom
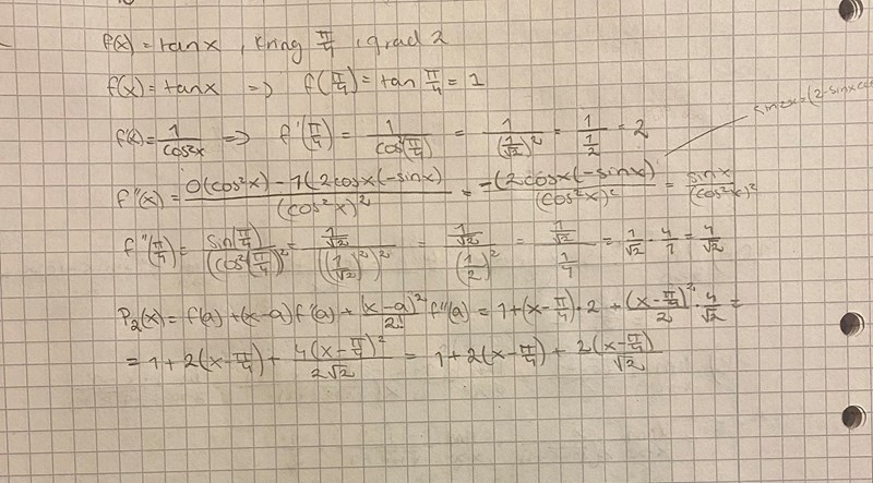
Har löst denna uppgift: Bestam Taylorpolynomet av grad 2 till f(x) = tan x kring x = π/4
enligt facit ska den sista termen stå som 2(x-π/4)^2. Så något har blivit helt fel men ser inte vart 😫
Dr. G skrev:
Okej, så jag har deriverat fel? Hur kommer jag fram till din andraderivata?
Kedjeregeln!
Jaha, hur gör man kedjeregeln på är det inte givet att man ska köra kvotregeln på den? Om du nu inte deriverade tan(x) som . Men det känns nästan ännu jobbigare
Variant 1
Variant 2
Kedjeregeln används ett par gånger. Är något steg oklart?
Du har inte deriverat fel, man får använda vilken deriveringsregel man vill så länge man gör det rätt. Däremot har du förenklat fel, det står att du vill byta till 2x men 2an försvann. Du får dr Gs uttryck om du istället förkortar bråket med cos x.

Nu blev det rätt! tackar ☺️