11 svar
140 visningar
matematik22 behöver inte mer hjälp
matematik22 30 – Fd. Medlem
Postad: 5 sep 2020 23:49

Taylorpolynom

Hej!

 

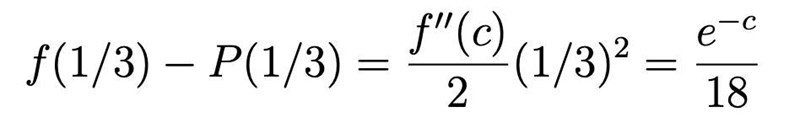
Fråga:

Lösningsförslag (en del):

Jag förstår inte varför det ska vara (1/3)^2. Jag tänker att det enligt definition ska vara: 
....(x-a)^(n+1) 
= (1-(1/3))^2
= (2/3)^2.

 

Tack på förhand,

Albiki 5096 – Fd. Medlem
Postad: 6 sep 2020 00:02 Redigerad: 6 sep 2020 00:02

Hej,

Här är a=0a=0, eftersom Maclaurinserie utvecklas kring a=0a=0, och x=1/3x=1/3 samt n=1n=1 vilka ger (1/3-0)2.(1/3-0)^2.

matematik22 30 – Fd. Medlem
Postad: 6 sep 2020 00:14

Hej igen, 

 

Ja då förstår jag, tack så mycket

matematik22 30 – Fd. Medlem
Postad: 6 sep 2020 00:35 Redigerad: 6 sep 2020 00:37

Jag förstår inte riktigt slutet av lösningsförslaget, hur är funktionen avtagande överallt ?

Edit: Är det för att f´(x) = -e^(-x) och kommer alltid anta negativa värden?

Micimacko 4136
Postad: 6 sep 2020 08:55
matematik22 skrev:

 

Edit: Är det för att f´(x) = -e^(-x) och kommer alltid anta negativa värden?

Ja

matematik22 30 – Fd. Medlem
Postad: 6 sep 2020 09:19

Tack då förstår jag, men varför satte man i 0 i ekvationen om den endast är 0<c?

Smaragdalena 78892 – Avstängd
Postad: 6 sep 2020 10:09
matematik22 skrev:

Tack då förstår jag, men varför satte man i 0 i ekvationen om den endast är 0<c?

Du vet att c<1/3<1 och e0 = 1. Man har inte satt in 0 i ekvationen.

matematik22 30 – Fd. Medlem
Postad: 6 sep 2020 10:25

Men är det så att man har satt in 0 i c för att det ska bli 1/18?  e-c18  < 118

Jag förstår inte riktigt slutet av lösningsförslaget 

Smaragdalena 78892 – Avstängd
Postad: 6 sep 2020 11:04

Är du med på att e-c < 1 eftersom c > 0?

matematik22 30 – Fd. Medlem
Postad: 6 sep 2020 11:16

inte riktigt faktiskt....

Albiki 5096 – Fd. Medlem
Postad: 6 sep 2020 20:14
matematik22 skrev:

inte riktigt faktiskt....

Det gäller att e-c=1ece^{-c}=\frac{1}{e^c} och om c0c\geq0 så är ec1.e^c\geq1. 

matematik22 30 – Fd. Medlem
Postad: 7 sep 2020 12:34

oki då förstår jag. tack för all hjälp 

Svara
Close