2
svar
179
visningar
KriAno behöver inte mer hjälp
Taylorutveckling
Hej!
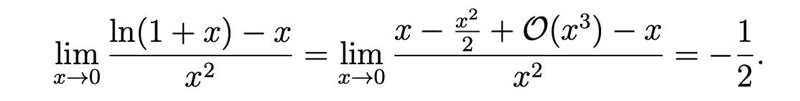
Kan någon snälla förklara hur det här stämmer?
Jag tycker att det ser ut som att täljaren går mot 0, samt att nämnaren också går mot 0 när x går mot 0. Hur blir det -1/2?

Jag tror du lurar dig själv! glömt bort att det står limit x->0, om du har vilket är i täljaren, så det du har är .
Ok! tack för hjälpen!!