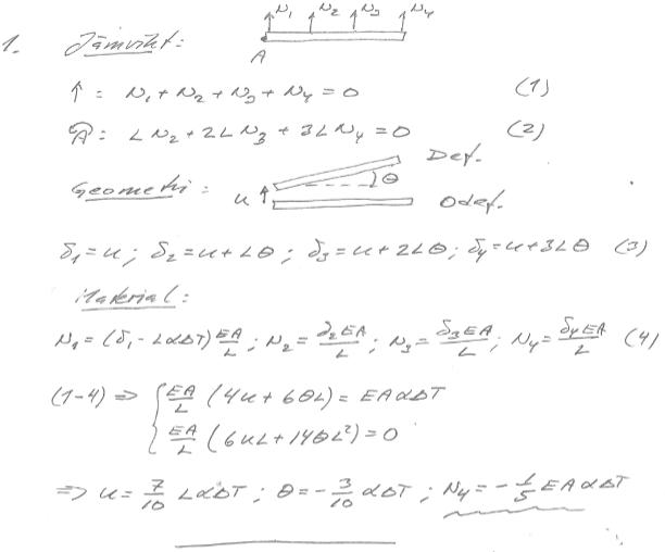
Tecken på termisk utvidgning


Jag har gjort som facit till och med Material: my_1. Där har läraren skrivit att normalkraften i stång 1 är lika med mek_förskjutning - term_förskjutning. Hur kommer det sig att den termiska förskjutningen har ett negativt bidrag? Jag förstår inte hur man ska tänka i och med att man värmer stången, dvs den förlängs.
MVH
Jag är lite osäker på begreppen här men man kanske kan resonera så här: om det inte hade hängt en balk i stång 1 så hade den förlängts med xT på grund av temperaturutvidgningen (därav index T). Men nu hänger det en balk där som håller emot (via stängerna 2-4). Alltså blir den totala förlängningen mindre än xT d.v.s. olika tecken. Förlängningen som "inte blev av" blir en tryckspänning i stång 1.
Du har ju troligen rätt i och med att det är något intuitivt att en stel (masslös bom) ska hålla emot m.h.a resterande stänger. Förstår dock ändå inte riktigt varför hela det termiska bidraget blir i motsatt riktining som stång_1:s förlägning.
Som jag förstår det så är det enbart den termiska utvidgningen som faktiskt skapar förlägning (initialt) och mottryck i systemet, om du förstår min förvirring.
Jag förstår lite mer nu tror jag. Misstänker att man i facit har tänkt hur materialsambanden blir "innan" deformation medan jag tänker mig att de borde vara skrivna under eller efter deformationen. Även det sättet att tänka är aningen förvirrande i och med att krafterna inte borde uppstå utan deformationen men det blir ändå tydligare.