Teknisk dragprovkurva - Hållfasthetslära
Vad är det grundläggande antagande som görs vid framtagandet av en tekniskdragprov-kurva?
har funderat på den här frågan men hittar inget vettigt svar.
dragprov kurvan ser ut så här.
Vad är x respektive y i ditt diagram?
Smaragdalena skrev:Vad är x respektive y i ditt diagram?
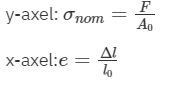
y-axel:
x-axel:
Första steget borde vara att slå upp dragprovkurva på Wikipedia.
Smaragdalena skrev:Första steget borde vara att slå upp dragprovkurva på Wikipedia.
men där pratar de om en sann dragprovkurva (Kf kurva) och inte en teknisk dragprovkura, eller?
Finns det någon icke-teknisk dragprovkurva? De verkade i alla fall ha samma saker på sina axlar som du skrev om. Men din kurva har ett litet hack strax efter punkten som möjligen kan tyda på att det ärr något annat.
Hur definieras "teknisk dragprovkurva" i din lärobok?
Smaragdalena skrev:Finns det någon icke-teknisk dragprovkurva? De verkade i alla fall ha samma saker på sina axlar som du skrev om. Men din kurva har ett litet hack strax efter punkten som möjligen kan tyda på att det ärr något annat.
Hur definieras "teknisk dragprovkurva" i din lärobok?
Mått på ett materials förmåga att utsättas för plastisk
deformation utan sprickbildning.

Jag hittar ingen skillnad mellan den här kurvan och den på Wikipedia. Finns det någon?
Smaragdalena skrev:Jag hittar ingen skillnad mellan den här kurvan och den på Wikipedia. Finns det någon?
Skillnaden är att den här kurvan "dippar" ner sen slutar den, kurvan i wiki fortsätter upp sen slutar den.
Det ser jag också, men vad kan det bero på? På vilket sätt skiljer sig "din" dragprovning mot Wikipedias?
Smaragdalena skrev:Det ser jag också, men vad kan det bero på? På vilket sätt skiljer sig "din" dragprovning mot Wikipedias?
Min drag provkurva har

och wiki (kf-kurva) har
Nej. Läs vad det står på Wiki-sidan:
På den vertikala axeln visas spänningen som är den pålagda kraften dividerad med tvärsnittsarean (provets ursprungliga tvärsnittsarea), σ = F/A.
Smaragdalena skrev:Nej. Läs vad det står på Wiki-sidan:
På den vertikala axeln visas spänningen som är den pålagda kraften dividerad med tvärsnittsarean (provets ursprungliga tvärsnittsarea), σ = F/A.
ok du hade rätt, men vad är antagande som görs vid framtagandet av en sådan kurva
Antagandet för kurvan?... Det är den kurvan du får när du drar sönder en provstav i en dragprovsmaskin. Under själva dragprovet mäts sambandet mellan den ökade dragkraften (y-axeln) samt provstavens förlängning (x-axeln) tills det att staven går av. Där kraften vid själva brottet beror på materialets styrka samt provstavens tvärsnittsarea.
Grundläggande antagande är att tvärsnittsarean är konstant på dragprovet under dragprovet, vilket det ju inte är på slutet då vi får en midjebildning på mitten strax innan brottet. Formel Sigma=F/A Spänningen i tvärsnittet ökar ju då arean minskar.
Dragmaskinen mäter Kraft Y-axel och förlängning på X-axeln. När arean minskar behöver ju inte maskinen dra med samma kraft för att förlänga provet en Längd Enhet. detta gör att den plottade kurvan dycker på slutet. I verkligheten ökar ju Spänningen i tvärsnittet på slutet.