4
svar
62
visningar
Soderstrom behöver inte mer hjälp
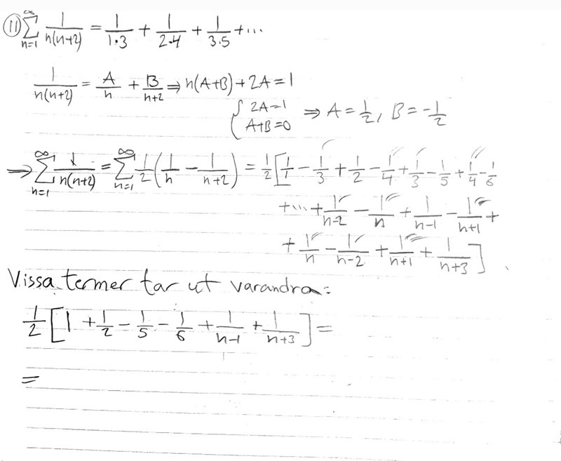
Telescoping series
Facit säger att summan blir ... Vad gör jag för fel :((

De enda termer som inte tas ut av en senare term med omvänt tecken är väl 1/1 och 1/2.
Laguna skrev:De enda termer som inte tas ut av en senare term med omvänt tecken är väl 1/1 och 1/2.
Inte enligt vad jag kom fram till? Eller? Jag ser inte det i alla fall... :(
-1/5 för n+2 = 5 tas ut av 1/5 för n = 5, t.ex.
Laguna skrev:-1/5 för n+2 = 5 tas ut av 1/5 för n = 5, t.ex.
Aha okej, jag ser att jag gjorde ett slarv fel också. Tack!