Teleskop serier
Hej!
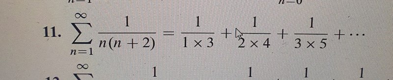
Behöver hjälp med den här uppgiften.uppgiften handlar om att man ska hitta summan av serien och visa om det är komvergent eller divergent.
Varför min lösning är fel. Använde mig av partialbråks uppdelning och skrev om 1/ n(n+2) till 1/2n + 1/2(n+2) , men enligt facit det ska bli 1/2 ( 1/n - 1/ n+2)
Uppgift:

Min lösning :😕

Facit:

Undrar du varför ?
För det första så ser du att din lösning ger samma svar som facit. Vad menar du med att du får något annorlunda?
SaintVenant skrev:För det första så ser du att din lösning ger samma svar som facit. Vad menar du med att du får något annorlunda?
Jag fick 5/4 och i facit står det 3/4
Laguna skrev:Undrar du varför ?
ja precis
I am Me skrev:Laguna skrev:Undrar du varför ?
ja precis
Testa att fixa en gemensam nämnare.
Tänk tillbaka på partialbråkuppdelning
Det gorde jag. Men jag får något annat
Du har bara använt formeln för slarvigt