Tensiometer - laboration
Försöker få ihop teorin till en laboration men fastnar på tensiometern. Vad jag fått ihop är nedan, obs inte renskrivet utan just vad jag fått ihop men inte lyckas sammanställa.
Hade varit tacksam för lite vägledning om ngn har tid att skumma igenom det.
----
The basic principle of the tensiometer:

(Figure 1)
The drop comes out of a small capillary inside a, for incoming light closed - other then for a single directed light source, box and is produced by the apparatus pumping fluid from a reservoir filled with the fluid under examination. On the opposite side of the light is a combined microscope and camera which is recording the size of the drop.
Before measurements start one sets the program in the computer to know the form of the drop so it knows what to measure on (hur menar man?), the volume of the drop, the time given for the equilibrium to set before measurements start and the time for how long the measurements should last as well as the time interval for the measurements.
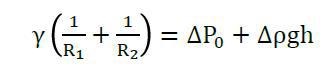
The tensiometer calculates the surface tension of a fluid based on the Gauss-Laplace equation and the shape of a pendant drop:

(Equation 5)
The left part of the equation being the same as the general La Place equation for the pressure difference over a drop, ΔP(0) the pressure difference between the drop’s inside and outside, Δ𝜌 the density difference between the liquid and the outside medium, g the acceleration due to gravity, and h is the vertical height of the drop measured from the reference plane (=??).
The equation uses the fact that when a drop is hanging two forces is acting on it:
One is due to gravity, i.e. the force which will enlarge the surface area, making the drop “longer”, and eventually making the drop fall: Δrå * g * h
The other force is WHAT?
(Nedan vet jag inte vilket som stämmer eller hur det egentligen är. Har hittat olika förklaringar på nätet som tillhör allt från tillverkare av tensiometers till delar av labrapporter. Tacksam för hjälp här.)
→ The computer program goes through the coordinates recorded of the drop and by using γ as a fitting parameter (i.e. changing γ) it though γ fits the Gauss-La Place equation to find the curve that fits best to the recorded coordinates of the drop. This curve then gives a serie of surface tension values.
→ The tensiometer goes through a number of coordinated recorded over the drop and for every spot calculates, based on equation 4, a surface tension. After the measurements are finished for the fluid in question one uses a program which goes through all the measured coordinated and makes a fitting to the Gauss-Laplace equation. This gives a serie of surface tensions (one for each spot) from which one can calculate an average.