1
svar
112
visningar
kalle100 behöver inte mer hjälp
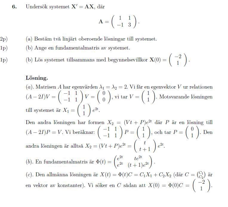
Tenta imorgon. Bestäm två linjärt oberoende lösningar till systemet.
O på denna liknande uppgift är de fel att få fram V2 på de sättet jag fick? För jag fick 

Du har gjort ett slarvfel. Om du sätter blir , inte . Då blir vektorn .
Men vad jag tror din fråga egentligen handlar om är huruvida lösningsmängden som ges av fundamentalmatrisen
är ekvivalent med lösningsmängden som ges av facits fundamentalmatris
Svaret är ja.
Om vi vill visa detta kan vi uttrycka lösningsmängderna som:
Om vi nu börjar med lösningsmängd :
Låter vi nu och får vi lösningsmängd , och alltså är de ekvivalenta.