Tentafråga avbildningsfråga
Hej!
Hur avgör jag om denna avbildning är linjär eller ej i 6a?

Du kan använda definitionen av linjär avbildning:
F(u + v) = F(u) + F(v)
F(au) = a*F(u)
för alla vektorer u och v, och alla skalärer a.
Man kan även se att F ovan innehåller ickelinjära termer.
Dr. G skrev:Du kan använda definitionen av linjär avbildning:
F(u + v) = F(u) + F(v)
F(au) = a*F(u)
för alla vektorer u och v, och alla skalärer a.
Man kan även se att F ovan innehåller ickelinjära termer.
Men hur börjar man? Jag vet ej vad du menar med icke linjära termer och hur man vet om F innehåller linjära samt icke linjära termer.
Hur ser definitionen av linjär avbildning ut?
Laguna skrev:Hur ser definitionen av linjär avbildning ut?
Jag vet ej om denna definition funkar bara för vektorer i R^2 då uppgiften gav oss vektorer i R^3. Isåfall skulle jag säga att F1 ej är linjär om det är så att kravet ska uppfyllas för R^2.

OK, det framgår inte direkt vilka uttryck som är linjära, men det är de som består enbart av en summa av termer som vardera är en konstant gånger en variabel.
I gymnasiet kallar man funktioner f(x) = kx+m för linjära, men det fungerar inte här.
Laguna skrev:OK, det framgår inte direkt vilka uttryck som är linjära, men det är de som består enbart av en summa av termer som vardera är en konstant gånger en variabel.
I gymnasiet kallar man funktioner f(x) = kx+m för linjära, men det fungerar inte här.
Fast om vi hade fått F1(x,y)=(2x+y,x-y) så tror jag att man hade kunnat visa att den är linjär ty den innehåller två vektorer i R^2
Avbilda (x1,y1,z1) +(x2,y2,z2) och se om bilden av summan blir samma sak som summan av bilderna.
Facit hade denna lösningsförslag. Jag hänger ej med på vad de gör på högerledet och raden efter. Kan någon förklara? 
De tar u = v = (0,0,1).
Sedan räknar de ut F(u + v) och ser att det inte blir samma sak som F(u) + F(v). Avbildningen är då inte linjär, och detta p.g.a z2-termen.
Dr. G skrev:De tar u = v = (0,0,1).
Sedan räknar de ut F(u + v) och ser att det inte blir samma sak som F(u) + F(v). Avbildningen är då inte linjär, och detta p.g.a z2-termen.
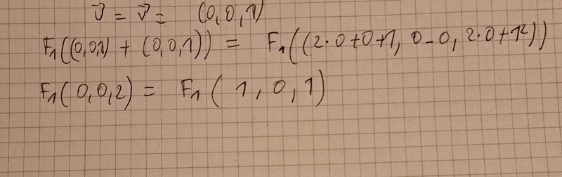
Ja jag förstår att de tar u=v=(0,0,1). Men jag fattar ej bara hur de får (2,0,2) respektive (2,0,4) i högerledet. Jag får ej som dem.Se bild. Dock blir VL och HL ej samma när jag gör på detta sätt.

Du har två vektorer och
Du vill visa att
Vad blir ?
Vad blir ?
Är de lika eller inte?
D4NIEL skrev:Du har två vektorer och
Du vill visa att
Vad blir ?
Vad blir ?
Är de lika eller inte?
F(u+v)=F(0,0,2)
F(0,0,2)=F(2*(0,0,1)=2F(0,0,1)
F(0,0,1)+F(0,0,1)=2F(0,0,1)
Ja här är de lika
Nej, det är viktigt att du förstår vad man menar med . Och du får inte förutsätta att F är linjär om det är det du ska visa (dvs det är inte säkert att ) vilket du tycks använda.)
Kan du visa vad är?
Och vad blir ?
D4NIEL skrev:Nej, det är viktigt att du förstår vad man menar med . Och du får inte förutsätta att F är linjär om det är det du ska visa (dvs det är inte säkert att ) vilket du tycks använda.)
Kan du visa vad är?
Och vad blir ?

Bra, därmed har du visat att eftersom
Avbildningen är inte linjär.
D4NIEL skrev:Bra, därmed har du visat att eftersom
Avbildningen är inte linjär.
Ah ok tack för hjälpen! Nu förstår jag.