Tentafrågan: Studera kretsen och svarar på frågor

Är det fel om ja räknar så här:
Potentialvandring ger mig:


Svar: VA = 0.198V
Om mätinstrumentet är inställt på strömmätning är resistansen i det nästan noll. Men det spelar inte någon roll i c-uppgiften.
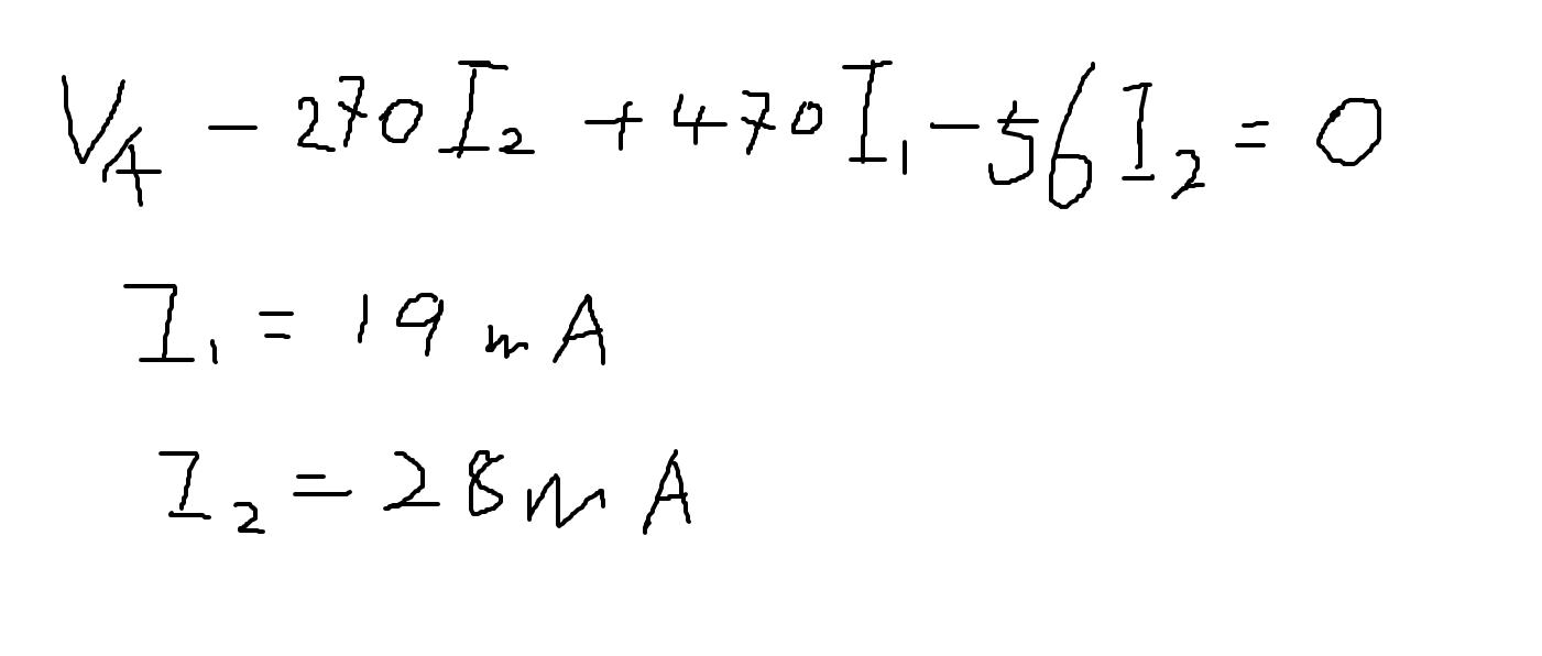
I2 är helt riktigt 28mA. Om du potentialvandrar från jordpunkten, över 3V batteriet, genom R3, vad får du då?

Om det blir en avbrott där betyder inte att det driva ingen ström genom R1, men ingen ström ->ingen spänning över komponenten.
Så borde inte spänning över R1 = 0 ? Så mätinstrumentet borde visar noll volt. Inte 9 volt.
ThomasN skrev:
I2 är helt riktigt 28mA. Om du potentialvandrar från jordpunkten, över 3V batteriet, genom R3, vad får du då?
Det är just här som ja inte förstår, varför måste ja börjar potentialvandring med jordpunkten? Får jag inte börjar med position A istället?
Potentialen räknas i förhållande till en nollvoltsreferens som jordpunkten.
Din potentialvandring i den övre slingan kan bara ge VA i förhållande till VA. Den blir alltså noll.
Om du tar med fler siffror när du räknar så får du att -270xI2 + 470xI1 - 56xI2 = 0.
På d-uppgiften: Det är spänningen över R1 som blir noll. Hela summan av batterispänningen hamnar över voltmetern.
Voltmetern har ju mycket större inre resistans än R1. Därmed kan R1 försummas.
ThomasN skrev:Potentialen räknas i förhållande till en nollvoltsreferens som jordpunkten.
Din potentialvandring i den övre slingan kan bara ge VA i förhållande till VA. Den blir alltså noll.
Om du tar med fler siffror när du räknar så får du att -270xI2 + 470xI1 - 56xI2 = 0.
Så din poäng är man får inte skriva VA-270*I2+470*I1-56*I2=0, utan det ska vara VA-270I2+470I1-56I2=VA.
Sen ta bort VA från båda sidor -> 270*I2+470*I1-56*I2=0 vilket inte stämmer för att det blir inte noll!
Och enligt definitionen för potential uträkning så måste man också "förhålla till en nollvoltsreferens som jordpunkten"
ThomasN skrev:På d-uppgiften: Det är spänningen över R1 som blir noll. Hela summan av batterispänningen hamnar över voltmetern.
Voltmetern har ju mycket större inre resistans än R1. Därmed kan R1 försummas.
Men enligt det du säger att voltmetern mäter spänningskällans spänning så varför säger facit också att man behöver ta hänsyn till I1 = 0 och potentialändring över R1 är noll?
Om man potentialvandrar runt i övre slingan så ska summan av potentialskillnader bli noll. Men det säger inget om VA i förhållande till jord.
Och - 270xI2 + 470xI1 - 56xI1 blir väl noll?
Om I1 = 0 så blir ju spänningen över R1 0V
ThomasN skrev:
Om man potentialvandrar runt i övre slingan så ska summan av potentialskillnader bli noll. Men det säger inget om VA i förhållande till jord.
Och - 270xI2 + 470xI1 - 56xI1 blir väl noll?
Okej, menar du om man ville räkna ut potential i punkten A då måste man hittar ett förhållanden mellan punkten A och jordpunkten.
Exakt
ThomasN skrev:Om I1 = 0 så blir ju spänningen över R1 0V
Ja, det är exakt hur ja tänkte! Om spänningen över R1 är noll, och om du anslut den till en voltmeter borde inte mätinstrumentet visar noll volt?
Nej, om spänningen över R1 är noll volt så har man samma potential på på båda sidor om den.

Menar du att det kommer blir samma som vi mäter totala spänning på den tråden längst ner? Eller hur?
Ja, voltmetern kommer att visa den spänningen.
En modern voltmeter har en inre resistans på 10Mohm. I jämförelse med den är 470ohm en tråd.
Marcus N skrev:ThomasN skrev:Potentialen räknas i förhållande till en nollvoltsreferens som jordpunkten.
Din potentialvandring i den övre slingan kan bara ge VA i förhållande till VA. Den blir alltså noll.
Om du tar med fler siffror när du räknar så får du att -270xI2 + 470xI1 - 56xI2 = 0.Så din poäng är man får inte skriva VA-270*I2+470*I1-56*I2=0, utan det ska vara VA-270I2+470I1-56I2=VA.
Sen ta bort VA från båda sidor -> 270*I2+470*I1-56*I2=0 vilket inte stämmer för att det blir inte noll!
Och enligt definitionen för potential uträkning så måste man också "förhålla till en nollvoltsreferens som jordpunkten"
Det är enklare att rita spänningar i schemat: