0
svar
145
visningar
teknikomatte behöver inte mer hjälp
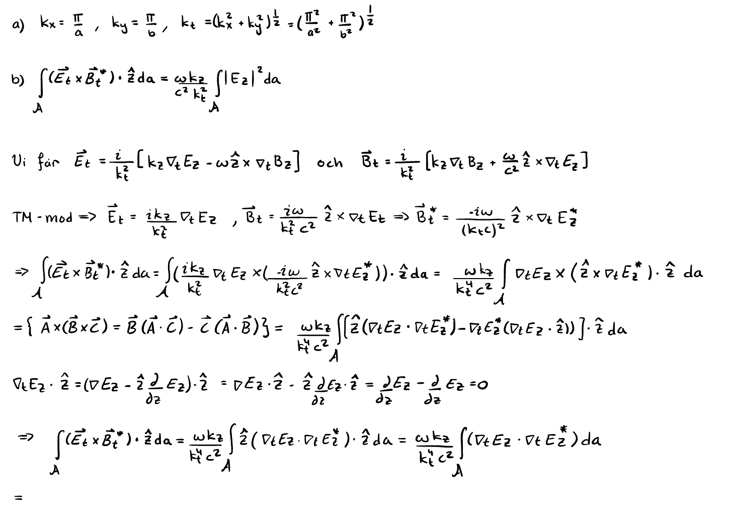
Teoretisk elektroteknik - Uttryck för transversella fältkomponenter m.h.a vektoranalys


Hej!
Skulle behöva lite hjälp.
Se uppgift (b) och det jag har gjort hittills. Vet inte riktigt hur jag ska fortsätta, i facit står det att man ska använda Gauss sats i 2D för att integrera partiellt, samt använda egenvärdesproblemet för , men vet inte hur jag ska göra detta.