Termisk töjning
Hej har svårt för hur jag ska gå tillväga här. Tacksam för tips
Så här har jag gjort men det stämmer ej.
Du skriver alldeles för lite för att det skall vara lätt att följa med i dina beräkningar. Hat du beräknat hur mycket stången skulle förlängas p g a temperaturhöjningen? (Jag hittar i alla fall inte vilken beräkning detta skulle vara.)
Ser att jag missade att ta med de i berkäningen. Längdförändringen får jag ut så här 
Jag tänker att jag möjligen kan räkna ut töjningen med hjälp av längden och längdförändringen. Via töjningen multiplicerat med E så får jag spänningen, spänningen multiplicerat med arean bör väl ge kraften fast det blir fel för mig.
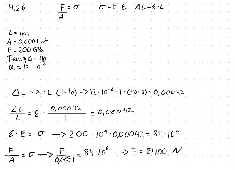
Förtydligar med min uträkning. Jag får sparet till 8,4 kN men enligt facit ska vi upp till 20,4 kN.
tapetklister skrev:Ser att jag missade att ta med de i berkäningen. Längdförändringen får jag ut så här
Jag tänker att jag möjligen kan räkna ut töjningen med hjälp av längden och längdförändringen. Via töjningen multiplicerat med E så får jag spänningen, spänningen multiplicerat med arean bör väl ge kraften fast det blir fel för mig.
Du har fel utgångstemperatur och det saknas enheter. Hur mycket utvidgas stången p g a temperaturändringen? Hur stor förändring "återstår" för töjningen?