0
svar
955
visningar
Termo, kretsprocess
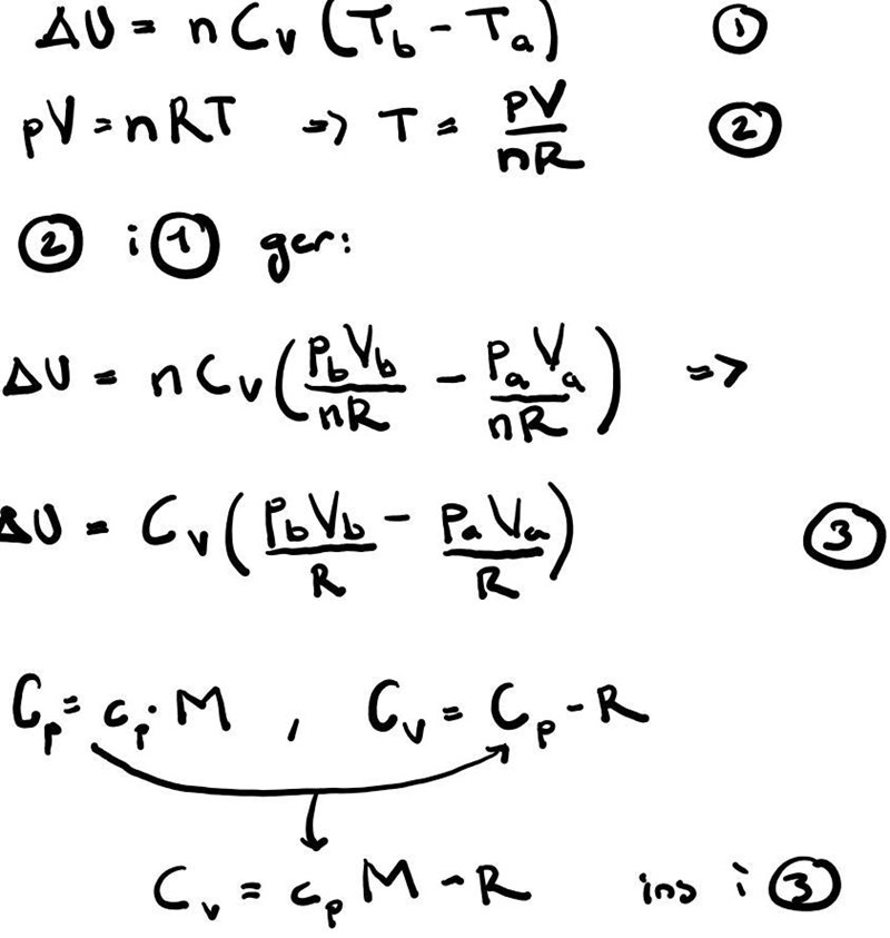
Figuren visar en kretsprocess som genomgås av acetylen-gas som kan betraktas som ideal. I processerna ab och bc tillförs värme medan det bortförs värme i processerna cd och da. Trycket i a är pa, trycket i c är 2,08·pa, volymen i a är Va och volymen i c är 2,2·Va.
Beräkna värmen mellan a och b ifall pa = 1,08 bar, Va = 1,1 m³.



Helt fel svar...blir tokig snart, hur ska jag göra?