2
svar
335
visningar
fiskbullen behöver inte mer hjälp
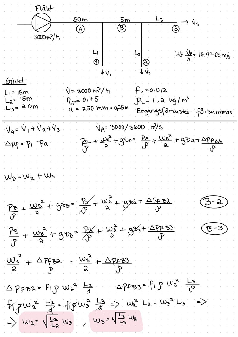
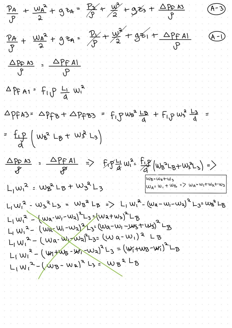
Termodynamik Bernoulli

Hur löser man denna? Jag kommer till det steg att jag har kunnat uttrycka w2 och w3. Men sen då? Hur går man vidare.
Mina slumpade värden är
L1: 15 m
L2: 15 m
L3: 20m
Såhär långt har jag kommit


Tramsiga inlägg borttagna. /Moderator.