0
svar
115
visningar
Volens28 behöver inte mer hjälp
Termodynamik , kylmedel i tank



Några frågor kring lösningsförslaget,
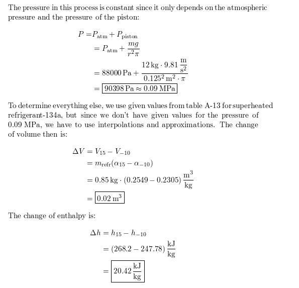
1) Är trycket konstant och endast beroende på kolv och atm p.g.a att det inte är någon "motor" utanför systemet som kan tillföra tryck?
2) 0,09Mpa finns ej som exakt värde i tabellen för superheated 134a, vad betyder resp. i lösningsförslaget(antar att det är specifik volym), och hur kommer personen fram till värdena 0,2549 resp. 0,2305?
Behöver vi inte mer info t.ex. massorna för gas och vätska ?