Termofysik

Hejsan
Jag skulle behöva ha lite vägledning.
smältvärme och värmeenergi
har redan påbörjat lite med att teckna ett färdigt uttryck utifrån den fyra separata uttryck
hur ska jag få loss cs (ä) •mä ? För att beräkna smältentalpin/specifik smältvärme cs=Is?
Biorr skrev:
hur ska jag få loss cs (ä) •mä ? För att beräkna smältentalpin/specifik smältvärme cs=Is?
Ämnets massa var given: 0,030 kg.
Även ämnets värmekapacitet var given: 2400 J/kg.K.
Så jag förstår inte frågan.
Jag tolkar det som att man ska jobba algebraisk med de fyra givna formler för att skapa en formel som beräknar smältentalpin/specifik smältvärme cs=Is för det okända ämnet.
sedan kan man börjar sätta in alla värden i den skapade formeln.
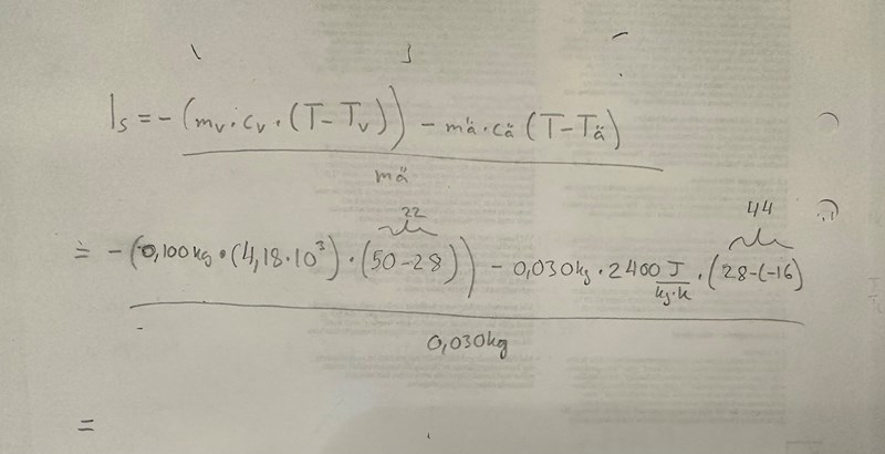
har möblerat om lite igen

Biorr skrev:
Så det blir . Och så vidare
Jag får fel uttryck och beräkning blir fel

Så det blir . Och så vidare.
Och så vidare betyder alltså att använda att Eä1 = -Eä2 - Ev.
Fortsätt själv med uttryck som redan är givna där.
Biorr skrev:Jag får fel uttryck och beräkning blir fel
Det kan inte vara rätt eftersom enheterna inte stämmer.
Och det tjänar till inget att multiplicera ut temperaturen, det blir bara oöverskådligt.
Biorr skrev:
![]()
Akta tecken.
Pieter Kuiper skrev:Eä1 = -Eä2 - Ev.
Får inte till det med att faktorisera minustecknet framför alla termer. Inom paranteserna
Svaret blir ett stor negativt värde istället. Vad innebär det?
Det tror jag inte. Latent värme är alltid en storhet som är större än noll.
Isf kan jag inte få till det.
kan man få nån vägledning?
det är bara uttrycket som håller mig tillbaka
Biorr skrev:Isf kan jag inte få till det.
kan man få nån vägledning?
Det är bara att följa den instruktionen där noga.
Räkna ut Evatten som den står där.
Och Eä2 som den står där. Tror jag, för jag antar att de har skrivit rätt.

När jag beräknar detta blir det negativt svar.
vad gör jag fel?
är det vid temperaturskillnaden i VL (termen)? Ska det vara -22 inom parentesen? Då blir den vänstra termen positiv
Hur mycket är T - Tv?
det blir -22 inom parentesen i den vänstra termen, så att den vänstra termen blir positivt.
men är det tillåtet?
denna uppgift menar att man alltid ska ha positivt inom parentesen (temperaturskillnaden ?

Om man nu utan att ständigt ifrågasätta bara gör vad instruktionen tydligt säger och skriver T = 28 grader och Tvatten = 50 grader och använder det i instruktionens formel för Evatten och räknar så till punkt och pricka, då är det väl inget problem?
Jag håller med om ovanstående, men jag tycker också att de borde hålla sig till sitt eget råd och alltid arbeta med positiva temperaturskillnader när man vet båda temperaturerna.
Deras formel för avgiven värme kan förvirra.
Och boken kunde kosta på sig lite tydligare index som Eis och Esaft.
Men om nu en annan instruktion säger att summan E1 + E2 + E3 = 0 ska det vara klart att inte alla dessa storheter kan vara positiva.
Det är bara att följa en sådan instruktion.
Jag tycker också att det är tydligare med en ekvation som visar balans, att det är mer pedagogiskt i kalorimetri med upptaget värme = avgivet värme, där dessa storheter är positiva.
Och det är bara att inse att -Evatten = mv cv (Tv - T), då är man redan där.


