Textuppgiften: Linje, plan bestämma konstanten (6.26)

Så här långt har ja kommit:

Men ja vet inte hur ska man fortsätta.
Jag tycker den var svår. För att de tre planen ska skära varandra längs en linje borde väl två av planen vara identiska. Men jag kan inte få ihop det. Närmast kommer jag med de två första planen.
Det första planet kan ju även skrivas 2x+2y+2az-2=0 och sätter man a=2 får man 2x+2y+4z-2=0 och det andra planet med a=2 blir 2x+2y+4z-4=0 men det är ju inte samma.
Det skulle innebära att svaret skulle vara: Det finns inget sådant värde på a. Men det har jag svårt att tro.
Det är en helt korrekt iakttagelse henrikus och om jag minns saken rätt har frågan har varit uppe tidigare på Pluggakuten.
Man måste formulera om frågan något för att den ska kunna lösas. Jag har för mig att det fanns en rättelse till frågan, ska se om jag kan hitta den. Annars kan vi hitta på en egen rättelse och lösa det problemet istället.
Lös istället systemet
Här är en länk till den gamla tråden: https://www.pluggakuten.se/trad/linjar-algebra-berakna-nar-planen-skar-varandra-pa-en-linje-j-mansson-6-26/
Visst kan tre olika (unika) plan skära varandra i en linje. Håller inte med om @henrikus resonemang.
Håller däremot med om att just dessa tre plan aldrig skär varandra i en linje (oavsett a).
jamolettin skrev:Visst kan tre olika (unika) plan skära varandra i en linje. Håller inte med om @henrikus resonemang.
Håller däremot med om att just dessa tre plan aldrig skär varandra i en linje (oavsett a).
Tex dessa 3 plan skär varandra in z-axeln.

Tänk på att i planekvationerna , det är alltså inte underrum. Vad måste gälla för elementen i ?
Analys skrev:jamolettin skrev:Visst kan tre olika (unika) plan skära varandra i en linje. Håller inte med om @henrikus resonemang.
Håller däremot med om att just dessa tre plan aldrig skär varandra i en linje (oavsett a).
Tex dessa 3 plan skär varandra in z-axeln.
Ni har rätt. Tre olika plan kan skära varandra längs en rät linje. Tex (som sagt) x=0, y=0, x+y=0 som skär varandra längs z-axeln. Då kanske det kan gå att lösa problemet ändå.
Nej, det går inte att lösa det ursprungliga problemet eftersom b (som är ett mått på varje plans "avstånd" från origo) är olika för alla plan samtidigt som determinanten är noll för a=1 och a=2.
Din första tanke var korrekt.
Däremot går det att lösa det alternativa system jag angav ovan.
Så lösningen är att planen skär varandra längs en linje om de är linjärt beroende, dvs om determinanten av matrisen är 0.
Och riktningen av linjen får man genom att ta vektorprodukten av planernas normal vilka bör ge parallella vektorer.
Slutningen måste man hitta en punkt som är gemensam.
Visa spoiler
D4NIEL skrev:Nej, det går inte att lösa det ursprungliga problemet eftersom b (som är ett mått på varje plans "avstånd" från origo) är olika för alla plan samtidigt som determinanten är noll för a=1 och a=2.
Din första tanke var korrekt.
Däremot går det att lösa det alternativa system jag angav ovan.
Min första tanke var inte korrekt. Två plan behöver inte vara identiska. Det räcker att planen är linjärt beroende och att de har en gemensam punkt.
D4NIEL skrev:Lös istället systemet
Här är en länk till den gamla tråden: https://www.pluggakuten.se/trad/linjar-algebra-berakna-nar-planen-skar-varandra-pa-en-linje-j-mansson-6-26/
Och vilka a skulle alltså lösa detta omformulerade problem? a=1 eller a=2?
Jag la planen så att båda värdena på ger lösningar. Systemet
har på formen determinanten då . Ett inhomogent kvadratiskt system med determinanten 0 kan antingen sakna lösningar eller ha oändligt många lösningar. Det visar sig att
gör att planen skär varandra längs linjen
gör att planen skär varandra längs linjen
Det ursprungliga systemet saknar lösningar för , vilket gör frågans påstående om att planen skär varandra längs en linje felaktigt.
Twisten på a=2 är ju att plan 1 och 2 är identiskt lika, dvs ligger i/på varandra. Det är ju dock inget som förhindrar en gemensam skärningslinje. J Månsson specade ju inte heller unika plan.
Analys skrev:Twisten på a=2 är ju att plan 1 och 2 är identiskt lika, dvs ligger i/på varandra. Det är ju dock inget som förhindrar en gemensam skärningslinje. J Månsson specade ju inte heller unika plan.
Vem är J Månsson? Författaren?
Om du scrollar upp så ser du en länk. Avser sannolikt Jonas Månsson från LTH/Lu.
Analys skrev:Twisten på a=2 är ju att plan 1 och 2 är identiskt lika, dvs ligger i/på varandra. Det är ju dock inget som förhindrar en gemensam skärningslinje. J Månsson specade ju inte heller unika plan.
Jag kan hålla med om att det är lite oestetiskt men för att få båda värdena på att fungera måste avståndsvektorn vara parallell med
Om man däremot nöjer sig med att få en skärningslinje för bara ett av värdena på räcker det med att avståndsvektorn b uppfyller (för a=2) eller (för a=1)
D4NIEL skrev:Nej, det går inte att lösa det ursprungliga problemet eftersom b (som är ett mått på varje plans "avstånd" från origo) är olika för alla plan samtidigt som determinanten är noll för a=1 och a=2.
Din första tanke var korrekt.
Däremot går det att lösa det alternativa system jag angav ovan.
D4NIEL, ”mått” = längden på en normal till planet som passerar origo?
D4NIEL skrev:Jag la planen så att båda värdena på ger lösningar. Systemet
har på formen determinanten då . Ett inhomogent kvadratiskt system med determinanten 0 kan antingen sakna lösningar eller ha oändligt många lösningar. Det visar sig att
gör att planen skär varandra längs linjen
gör att planen skär varandra längs linjen
Det ursprungliga systemet saknar lösningar för , vilket gör frågans påstående om att planen skär varandra längs en linje felaktigt.
Den här stämmer överens med facit. Hur har du kommit fram till detta? Där a=1 och a=2 varför är det just i dessa två fallet tre planen skär varandra längs en linje?
D4NIEL har ju hittat de korrigerade planen som gör problemet lösbart.
Henrikus sammanfattar ovan:
Så lösningen är att planen skär varandra längs en linje om de är linjärt beroende, dvs om determinanten av matrisen är 0.
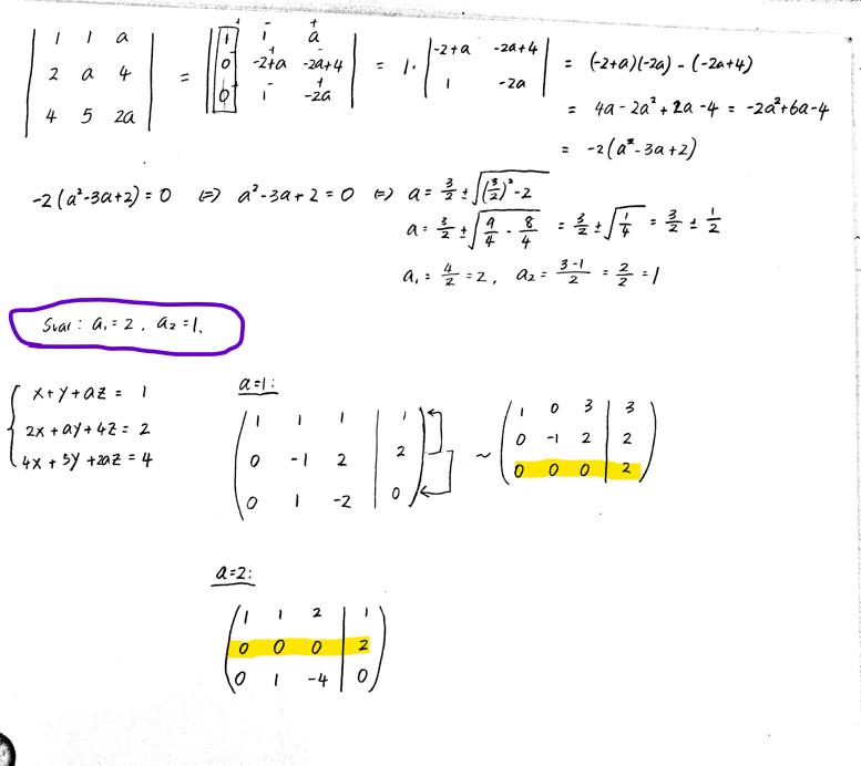
Detta är nyckeln. Brstäm determinanten som funktion av a. Sätt lika med 0 och lös ut a.
kolla också länken ovan.
Analys skrev:D4NIEL har ju hittat de korrigerade planen som gör problemet lösbart.
Henrikus sammanfattar ovan:
Så lösningen är att planen skär varandra längs en linje om de är linjärt beroende, dvs om determinanten av matrisen är 0.
Detta är nyckeln. Brstäm determinanten som funktion av a. Sätt lika med 0 och lös ut a.
kolla också länken ovan.
Samt att hitta en gemensam punkt för de tre planen. Finns det ingen sådan, finns det ingen gemensam skärningslinje.
Analys skrev:D4NIEL har ju hittat de korrigerade planen som gör problemet lösbart.
Henrikus sammanfattar ovan:
Så lösningen är att planen skär varandra längs en linje om de är linjärt beroende, dvs om determinanten av matrisen är 0.
Detta är nyckeln. Brstäm determinanten som funktion av a. Sätt lika med 0 och lös ut a.
kolla också länken ovan.
Menar ni att jag behöver lösa denna determinanten:

Men det är inte en kvadratiskt matrisen. Kan man räknar determinanten på en icke-kvadratiskt matrisen?
Nej, för att räkna ut en determinant måste du ha en kvadratisk matris. Du har försökt räkna ut en determinant för den utökade matrisen som du dessutom har reducerat till trappstegsform. Vi tar det från början
Ditt ursprungliga system ser ut så här:
Om man vill kan man skriva det på matrisform så här
Där är en 3x3-matris med koefficienter. För att det inhomogena kvadratiska ekvationssystemet ska ha oändligt många lösningar (t.ex. ligga ut med en linje) eller helt sakna lösningar måste
Vi börjar med att beräkna determinanten för
Sätt sedan uttrycket för determinanten lika med noll, vilka värden kan anta?
Sätt slutligen in värdena på a i din matris och lös ekvationssystemet på vanligt vis, lösningarna bildar två linjer.
Om vi går tillbaka till determinantens definition. Om en 3x3 kvadratiskt matris har determinanten noll då betyder det att den kommer inte kunna spänna upp en parallepiped.
Dess ville säga volym är noll. Men bara för att den har volym noll så betyder inte arean är också lika med noll. Och för att kvadratiskt ska bilda en linje så ska arean den spänner upp också vara noll. Hur kan får detta att arean ska också blir noll?
Normalt skär tre plan varandra i en punkt.
Det blir 3 ekvationer och 3 obekanta.
Ax = b
Men om det(A) = 0 finns det oändligt många lösningar eller ingen lösning.
Om det är oändligt många lösningar kan det vara ett plan (då måste alla tre plan vara identiska) eller en linje (då måste planen vara linjärt beroende och de måste ha en gemensam punkt).
Eller också finns det ingen lösning, till exempel planen x=0, x=1, x=2
D4NIEL skrev:Jag la planen så att båda värdena på ger lösningar. Systemet
har på formen determinanten då . Ett inhomogent kvadratiskt system med determinanten 0 kan antingen sakna lösningar eller ha oändligt många lösningar. Det visar sig att
gör att planen skär varandra längs linjen
gör att planen skär varandra längs linjen
Det ursprungliga systemet saknar lösningar för , vilket gör frågans påstående om att planen skär varandra längs en linje felaktigt.
Efter liten beräkning så fick ja ungefär så här: 
För detN=0 då blir a=1,2. Men sen när ja sätter in a tillbaka till den ursprungliga formen då saknar båda fallet lösning.
Så min frågan är hur fick du den här lösning: 
??
Har du provat att pulgga in D4NIEL linjeformler i de 3 ekvationerna?
Det finns ju inte en specifik lösning utan en hel linje av lösningar.
ett sätt att komma fram till riktningsvektorn för linjen är att kryssa normalen till plan 1 o 2 och samma mellan 2 o 3, dessa kommer att vara paralella för a=1. Sen gäller det bara att hitta en punkt.
för a=2 ligger ju 2 av planen i varandra.
Jag förstår inte din eliminering, så här skulle jag göra för a=1:
Nu ser vi att är en fri variabel och vi kan låta den vara
Andra raden ger då att dvs
Första raden ger dvs
Är du med?
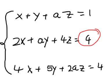
Vi har en siffra fel:

Den ursprungliga prpblemformuleringen är troligen fel. Kolla post 4 i denna tråd.
#4 tar mig till den gamla tråden. Och ja kan inte följa frågares tankesätt och lösningsmetod där. Ni får antingen fortsätta hjälpa mig i den här tråden. Eller öppnar en helt ny tråd.
Är du med på att #28;ger dig en riktningsvektor för linjen när a=1?
Nej, den ekvationssystemet som ni har löst i #28 är fel.
Den riktiga ekvationssystem borde ser ut så här: 
Analys skrev:Är du med på att #28;ger dig en riktningsvektor för linjen när a=1?
Jag vet vad en linjes parametersform är och vad en riktningsvektor är. Men den E.S som ni har löst är inte den riktiga E.S som står i uppgiften.
Det är ett tryckfel i boken. Du kan inte lösa frågan med det ekvationssystem som står där.
Du måste ändra ekvationssystemets högerled. Det enklaste är att ändra 4:an till en 2:a.
Nu har jag mailat den troliga uppgiftsförfattaren och frågat.
I keep u posted.
Analys skrev:Nu har jag mailat den troliga uppgiftsförfattaren och frågat.
I keep u posted.
Toppen, tack så mycket.
Har varit i kontakt med övningsboksförfattaren:
”
Ja, det är fel i facit. Eller, precis som du skriver i mejlet, fel i uppgiften. Det skall stå -2 i den mellersta ekvationen.
Vi kommer att fixa felet i i nästa revision av övningshäftet.
”