2
svar
100
visningar
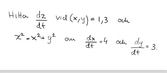
Tillämpning av derivata , kedjeregeln
förstår att på något sätt man ska använda sig av kedjeregeln med vet inte riktigt hur,
Har du testat att bara derivera alltihop och lösa ut? Typ såhär, men osäker på om det är rätt. Har du facit?

Ser bra ut, men funderar på hur man vet tecknet på ? Är det eller ?