Tillämpning av extrempunkter?
Hej,
Se nedan efter min initiala text med en del av lösning innan svaret,frågan/uppgiften.
Har kommit fram till enligt förklaring til följande:
Att man kan skapa en rätvinklig triangel inuti för att räkna ut arean. Så b2 +a2 =c2 enligt Pythagoras sats.
Man har höjden h=h-16 och man ska istället för denna variabel omvanlda den till varibalen med b så man kan sättai n den i ekvationen. Det blir då 550 (arean)=b*h som blir h=550/b som man då sätter in i stället i ekvationen. Då får man c2 +b2 +(550/b-16)
Som ,enligt video, ska tas c= b2 +(550/b-16)2 då svaret enligt GG ska bli 23 mm, som minimipunkt.
Jag får dock inte ha digitalt hjälpmedel på NP så behövr lösa detta algbreiskt eller med grafräknare. Någon som kan hjälp mig med att lösa denna på det sättet istället.

Det är förvirrande att du skriver h = h-16, vilka h menar du då?
Och vad är a, b och c?
Om du markerar dessa storheter i bilden så underlättar det både för dig själv och de som läser din lösning.
Hej Y,
Det e inte förvirrande, det gjordes så på video med Jonas W. Det e kanske förvirrande när man inte ser det framför sig själv, som jag ofta inte gör..:)
Har skrivit upp det med kanske kan se om jag kan länka till den videon så du får se att det e en bra lösning,dock hade han inte en förklaring på så jag kom vidare med det jag/han kom fram till.
H-16 är på sidorna där det står 8 på bägge sidor. Då blir h/höjden således h-16, e du,ni med...
a, b o c är kateterna och hypotenusan på rektangeln som kan ritas i figuren. Du/ ni ser att det är guldtråd, sned diagonal eller hur man uttrycker det, då gjorde han en rätvinklig triangel av den och drog linjen/guldtråden uppifrån o ned, hur ska jag förklara.
Visst lättare om jag ritar in, men hur gör jag det på bilden här?

Heheh, fick äver en bild så snyggt som jag skapade i libre office draw, snyggt värre..:)
Denna läggs in precis som den ser ut i silverplåten och diagonalen på guldtråden är hypotenusan sedan ritas katetrarna upp i silverplåten, e du/ni med?
Katetrarna e a 2 + b2 =c2 som är hypotenusan.
Vilket mer samband finns det mellan sidorna a och b? Det står i texten.o
Henrik 2 skrev:Hej Y,
Det e inte förvirrande, det gjordes så på video med Jonas W. Det e kanske förvirrande när man inte ser det framför sig själv, som jag ofta inte gör..:)
Skicka gärna länk till videon, jag tror inte att Jonas där skriver att h = h-16.
Har skrivit upp det med kanske kan se om jag kan länka till den videon så du får se att det e en bra lösning,dock hade han inte en förklaring på så jag kom vidare med det jag/han kom fram till.
H-16 är på sidorna där det står 8 på bägge sidor. Då blir h/höjden således h-16, e du,ni med...
Jag är med på att om rektangelns höjd är h1 så är triangelns höjd h2 = h1-16. Men jag är inte med på att både rektangelns och triangelns höjd är h, som du skrev tidigare.
a, b o c är kateterna och hypotenusan på rektangeln som kan ritas i figuren.
Du menar väl på triangeln, inte rektangeln?
Du/ ni ser att det är guldtråd, sned diagonal eller hur man uttrycker det, då gjorde han en rätvinklig triangel av den och drog linjen/guldtråden uppifrån o ned, hur ska jag förklara.
Visst lättare om jag ritar in, men hur gör jag det på bilden här?
Förslag: Ta en bild med telefonen och redigera sedan bilden genom att rita på bilden..
När jag gör det blir det så här:

Arbeta nu vidare från detta.
Till exempel har du att
(mm)
(mm2)
Tillägg: 29 mar 2024 03:01
Jag skrev fel på mittenekvationen (Pythagoras sats), den ska vara
Ops, precis triangeln..
Får kika igen om jag skrev fel med vad h=? men det var det,bara att jag uttryckte mig fel/klantigt kanske.
Nästan, han sätter dock inte h1 o h2 utan där du sätter h2 sätter han a2 för att ta detta med pythagoras sats.
Skickade vad som gjorts och det som han/jag kommit fram till med c= och sedan roten ur......
Sedan komme jag inte längre iom att han använde sig av GG.
Jag får se om jag förstår vad du skrev i morgon kl e 02:24, helt slut..
/H
Om vi låter h_2 = x i #5 fås nedanstående figur, vilket innebär att c = 23 mm

Hej T,
Men behöver som jag sade i inlägget ett alternativ till GG, då jag inte får ha det på NP.
Mvh/H
Glad påsk
Henrik 2 skrev:Hej T,
Men behöver som jag sade i inlägget ett alternativ till GG, då jag inte får ha det på NP.
Mvh/H
Glad påsk
Hej
Så här hade jag löst den 'manuellt'


Detta bekräftas genom Geogebra ovan eller Mathematica;

Hej,
Nej, förstår inte någon av era förklaringar, hänger inte med. Ett tag sedan som jag gjorde denna också. Vet bara att jag kom fram enligt video til det som jag skrev men visste inte hur man kom längre med roten ur..
Mvh/H
Hej igen,
Om man utgår från det som jag skrivit i inlägg 1, det som jag fick ut att kika på Jonas W:s video. Han tar istället för a2 som då är en av sidorna/kateter i triangeln som =(h-16). Men för att få bort h som variabel o ersätta den med b så tog han arean som var lika med 550 o skrev 550=b* h som då blir 550/b=h och som man kan sätta in i ekvationen istället för h, dvs 550/b-16.
Och jag kom fram till och ska räkna ut c= √b2 +(550/b-16)2
Svaret enligt GG ska bli 23 mm, som minimipunkt
Så undrar igen hur räknar jag ut det för hand eller med grafräknaren då jag inte får ha digitalt hjälpmedel på provet?
Men sedan e inte arean i en triangel b*h utan b*h/2 så Jonas som gjort videon måste räknat fel där eller?
Hur som haver hur kommer jag vidare till att lösa denna för hand eller med räknaren?
Mvh/H
Den lösning jag föreslagit i inlägg #10 är approximativ och förutsätter att ändområdena upptill och nedtill är små, dvs att a/(a+16) inte skiljer sig alltför mycket från 1. Trots att den kvoten i det här fallet är ≈ 0,5 så blir felet ändå inte så stort. I alla fall går det att beräkna manuellt utan miniräknare eller Geogebra.
Hej Ragnar,
Men jag förstår inte det du har gjort .Dels har du tagit hela höjden för att bara räkna höjden på triangeln och sedan förstår jag inte vad du gjort med hypotenusan som e d.
Du har inte heller delat b*h/2 men det har du då inte gjort för du har räknat hela den sida och inte bara den i triangeln,ok.
Men förstår den inte.
Mvh/H
Jag förstår det som jag förklarat och sett på video. Och nu förstår jag a=550 då man tar b*h=550 iom att man tar för rektangelns area och inte triangelns o sedan när man fått ut h=b/550 så tar man höjden på rektangeln -16 som således blir höjden på triangeln som är sida a2 och som således blir 550/b-16
Nu behöver jag enbart hjälp med att lösa detta då jag inte förstår de förklaringar som ni har men förstår denna förklaring som jag lagt in i inlägg 1.
c= √b2 +(550/b-16)
Hur tar man det på räknaren eller för hand?
Mvh/H
Hej alla,
Tack för input men förstår inte era förklaringar ska se om Y kan förklara denna pedagogiskt.
Y, du använder h22 där jag använder a2 som jag sedan byter ut mot (550/b-16).
Hur fortsätter jag o löser detta för hand eller på räknaren för att få ut 23 mm?
Mvh/Henning
Henrik 2 skrev:[...]
Y, du använder h22 där jag använder a2 som jag sedan byter ut mot (550/b-16).
Hur fortsätter jag o löser detta för hand eller på räknaren för att få ut 23 mm?
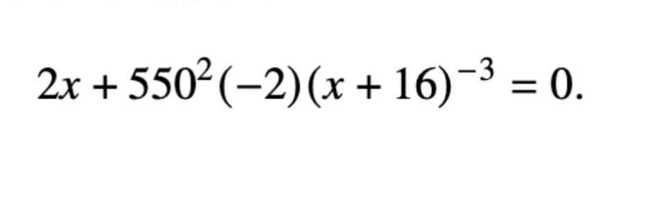
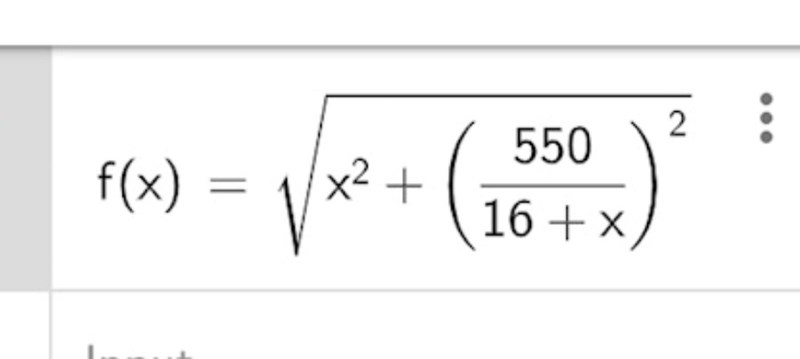
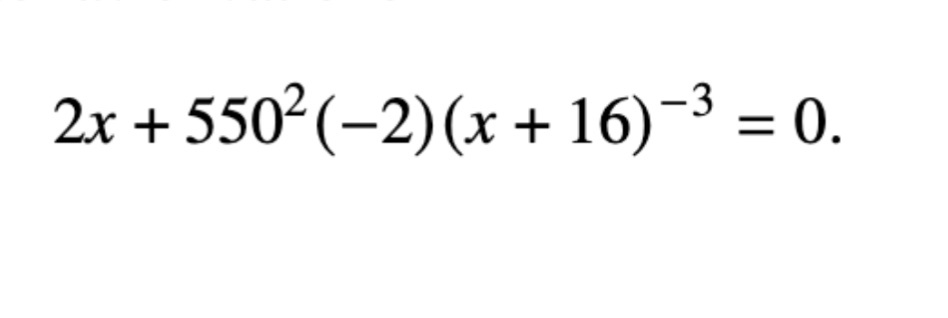
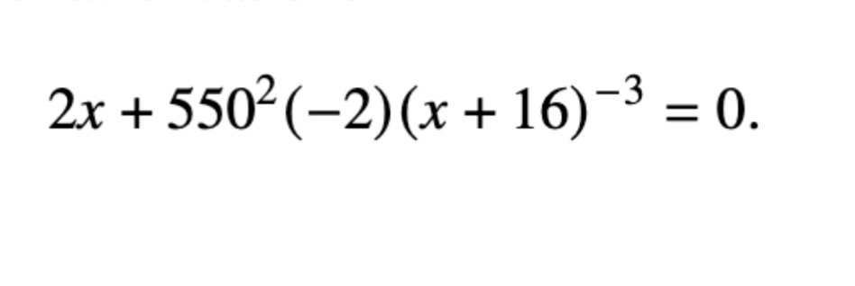
Hej, i ditt svar #8 har du gjort en korrekt tolkning av mina beteckningar i svar #5.
Du har ställt upp ett korrekt uttryck för längden av guldtråden som funktion av plattans bredd.
Du vill nu minimera detta uttryck.
Det går att göra med hjälp av derivata, men att derivera uttryck av detta slag lär man sig först i Matte 4.
I Matte 3 kan du istället använda något digitalt hjälpmedel.
Om du inte får använda Geogebra så kan du istället använda din grafräknare för att platta grafen och därigenom hitta uttryckets minsta värde.
Yngve skrev:Henrik 2 skrev:[...]
Y, du använder h22 där jag använder a2 som jag sedan byter ut mot (550/b-16).
Hur fortsätter jag o löser detta för hand eller på räknaren för att få ut 23 mm?
Hej, i ditt svar #8 har du gjort en korrekt tolkning av mina beteckningar i svar #5.
Du har ställt upp ett korrekt uttryck för längden av guldtråden som funktion av plattans bredd.
Du vill nu minimera detta uttryck.
Det går att göra med hjälp av derivata, men att derivera uttryck av detta slag lär man sig först i Matte 4.
I Matte 3 kan du istället använda något digitalt hjälpmedel.
Om du inte får använda Geogebra så kan du istället använda din grafräknare för att platta grafen och därigenom hitta uttryckets minsta värde.
Jag kanske missat något fundamentalt men hur löses denna analytiskt?

Trinity2 skrev:
Jag kanske missat något fundamentalt men hur löses denna analytiskt?
Nej det är sant.
Uppgiften är säkerligen avsedd att lösas med numeriska metoder/digitala hjälpmedel, vilket i det här fallet betyder att det är en onödig omväg att leta efter derivatans nollställen.
Hej Y o andra,
Men kan vi ta denna uppgift från allra första början, återigen, där du Y (annan) förklarar steg för steg och o så kommer man fram till c= (a-16)2 +(550/a)2
Hur slår man detta på grafräknaren? O hur kontrollerar man det att det e minpunkt, med andra derivatan eller teckentabell? Vad e det man skall derivera här?
Nu behöver jag ta denna från början medupptällningen, återigen, och koppling till Pythagoras sats med sidor etc.
Mvh/H
Henrik 2 skrev:Men kan vi ta denna uppgift från allra första början, återigen, där du Y (annan) förklarar steg för steg och o så kommer man fram till c= (a-16)2 +(550/a)2
Läs mitt svar #5 igen. Där står allt du behöver veta.
Hur slår man detta på grafräknaren?
Använd grafläget och be räknaren rita grafen på samma sätt som du gjorde med hjälp av Geogebra i svar #8.
O hur kontrollerar man det att det e minpunkt, med andra derivatan eller teckentabell? Vad e det man skall derivera här?
Du ser det på grafen.
Du ska inte derivera något, det blir inte enklare för det i det här fallet.
Nu behöver jag ta denna från början medupptällningen, återigen, och koppling till Pythagoras sats med sidor etc.
Det står i svar #5
Yngve skrev:Trinity2 skrev:Jag kanske missat något fundamentalt men hur löses denna analytiskt?
Nej det är sant.
Uppgiften är säkerligen avsedd att lösas med numeriska metoder/digitala hjälpmedel, vilket i det här fallet betyder att det är en onödig omväg att leta efter derivatans nollställen.
Lite luddig gräns vad som avses i ett utdrag enligt

0/0/3 kan jag ej tolka exakt, men jag gissar på att det är "3p på hög nivå" så att ställa upp ekvationen och säga "fixar det med räknaren" tycker jag inte meriterar 3p, men skolan har ändrats. Jag vet lite om hur det är idag. Nya tider, nya regler.
Hej alla,
Ja ,denna e 3 poäng på a-nivå således behöver jag hjälp om jag ska kunna lösa denna själv. Ni försöker men vet inte om jag e med på banan. Ska se Ys svar i inlägg 5. Men Y (annan) kan du inte ta allt från början, det e så himla luddigt nu i o m tråden e lång och kommer inte ihåg helheten,bara delar. Behöver få denna pedagogiskt förklarar med Pythagoras sats så man kan beräkna hypotenusan, dvs diagonalen och sedan hur tar man detta o slår in på grafräknaren c= √(a-16)2 +(550/a)2 ?
Y, du säger, ta/använd grafläget, menar du att jag ska se på grafen. Ok, men hur slår jag roten ur detta tal på räknaren ,vet inte hur man gör?
Ok, man kan ta a (som du Y tog som h1) *b = 550 (dvs arean i rektangeln). För att få b fritt så blir det b=550/a. Och a blir a-16 och sedan så har vi c. a och b är katetrarna och c är hypotenusan således blir det. (a-16)2 + (550/a)2 = c2 som blir
c= (a-16)2 + (550/a)2
E vi med nu alla på detta?
Hur gör jag/man för att slå detta på räknaren och sedan kommandon i grafräknaren för att se minpunkt på grafen?
Man kan således när man slår på räknaren använda sig av x som variabel men jag gör det och sätter detta inom parentes men får ändå fel, får det till 49 och det ska bli 23.
Mvh/H
Mvh/H
Visa exakt hur du slår in detta på grafräknaren.
Ok, hur ska jag förklara det?
Ok, försöker ta vad jag slår.
2nd x2 (det e väl roten ur då?)
Sedan gör räknaren någon slags parentes, men jag tar förutom den en parentes till så det ser ut som följande: ((x-16)2 +(550/x)2
Valde ett rotenurtecken här,den ska såldes gå över alla tal under som jag skrivit in.
Vad görs fel?
Mvh/H
Du skriver in en annan funktion än den som står i inlägg #8.
Det ska vara

Ok, den förstår jag inte, förstår den som jag lade in, men denna förstår jag inte.
Oavsett får inte detta rätt heller när jag slår det på räknaren.
För det första är roten ur symbolen 2nd och sedan x2 knappen, den 4e knappen under 2nd till vänster på räknaren?
Ska jag ta det som det står x2 utan parentes och sedan (550/16+x)2 ?
Om så blev det fel,fick 46, .....något..
Mvh/H
Henrik 2 skrev:Oavsett får inte detta rätt heller när jag slår det på räknaren.
För det första är roten ur symbolen 2nd och sedan x2 knappen, den 4e knappen under 2nd till vänster på räknaren?
Det beror på vilken räknare du har.
Ta en bild med mobilen och ladda upp.
Ska jag ta det som det står x2 utan parentes och sedan (550/16+x)2 ?
Du ska skriva x^2+(500/(16+x))^2 under/innanför rotenur-tecknet
Har TI-82-STATS
Prövar igen vet inte om jag glömde att ta +, så trött.
Men förstår inte alls den funktionen, du får förklara den, jag förklarade den jag lade in och tycker den e mer korrekt o den förstår jag.
Ok, nu fick jag det rätt efter dubbelparentes. Måste det alltså avslutas med en dubbelparentes som här för att det ska funka? Man börjar med parentes som räknaren gör själv när man tar rotenur tecknet och sedan räcker det inte alltså att ta (550/16+x) utan det måste vara (.......))?
Ok, då fick jag det rätt då e det kvar att du förklarar funktionen för jag e inte med på den.
x2 + (550/16+x)?
Denna nedan e jag med på o förstår men då får du färklara den ovan så e jag med på banan.
Ok, man kan ta a (som du Y tog som h1) *b = 550 (dvs arean i rektangeln). För att få b fritt så blir det b=550/a. Och a blir a-16 och sedan så har vi c. a och b är katetrarna och c är hypotenusan således blir det. (a-16)2 + (550/a)2 = c2 som blir
c= √
(a-16)2 + (550/a)2
Mvh/H
Bra att du fick.till det!
Det är bra att bli kompis med grafräknaren, den kan vara till god hjälp på prov. Men bara om du vet hur du ska använda den.
==============
Jag ska nu försöka förklara varför funktionen (du själv tog fram i svar #8) ser ut på det sättet. Jag repeterar då det jag skrev I svar #5 och fortsätter tankebanan:

Ur figuren ser vi att
(mm)
(Pythagoras sats)
(mm2)
Ekvation 1 ger oss att
Ekvation 3 ger oss att
b=550/h1
Dessa två tillsammans ger oss att
Insatt i ekvation 2 får vi
Det ger oss att
Om du nu sätter så får du precis den funktionen.
===============
Kommentar: Om du istället uttrycker c som funktion av h1 så får du det andra funktionsuttrycket
Hej Y,
Ok, får gå igenom om o om igen din förklaring på funktion,men tror jag e med på banan, lite mer i vart fall. Men den funktion som jag hade o förstår bättre är den "fel"?
Vad menar du med c som funkton av h1?
Mvh/H
Henrik 2 skrev:Ok, får gå igenom om o om igen din förklaring på funktion,men tror jag e med på banan, lite mer i vart fall. Men den funktion som jag hade o förstår bättre är den "fel"?
Nej, den är inte fel.
Vad menar du med c som funkton av h1?
Jag menar
Ok, men när jag tar den funktion c funktion av h1 så byter jag ut h1 mot x?
Gjorde det men fick 8,....något..
Henrik 2 skrev:Ok, men när jag tar den funktion c funktion av h1 så byter jag ut h1 mot x?
Gjorde det men fick 8,....något..
Ja, du ska då byta ut h1 mot x och låta räknaren rita den grafen.
Om du får ett annat resultat än tidigare så skriver du nog fel någonstans.
Graferna till de båda funktionerna ser nämligen ut så här:

Vi ser att den kortaste längden på silvertråden är ungefär 23 mm i båda fallen, men att denna kortaste längd uppnås vid olika x-värden.
En bra extrauppgift till dig är att klura ut vad de olika x-värdena betyder.
Visa ledtråd
Studera bilden i svar #33 och fundera på vad x står för i de båda fallen.
Hej,
Hur får man fram att det e en minpunkt?
Man brukar ju ta andra derivatan/biss eller teckentabell, men här har man väl inte deriverat något eller har man?
Mvh/H
Henrik 2 skrev:Hej,
Hur får man fram att det e en minpunkt?
Man brukar ju ta andra derivatan/biss eller teckentabell, men här har man väl inte deriverat något eller har man?
Mvh/H
Se #11;
Antingen räknar man analytisk enl. #11, eller så gör man det grafiskt och då behövs ingen närmare förklaring. Kurvan är synnerligen "välartad" och skapar inga "fraktaler" vid minimumpunkten. Ett grafiskt resultat kan ej misstolkas och behöver ej djupare motivering IMO.
Henrik 2 skrev:Hur får man fram att det e en minpunkt?
Du ser det på grafen.
Man brukar ju ta andra derivatan/biss eller teckentabell, men här har man väl inte deriverat något eller har man?
Nej, man har inte deriverat. Istället har man ritat grafen som visar hur längden c på guldtråden varierar med höjden h1 (ena grafen) och med höjden h2 (andra grafen)
Hej Y,
Grafen, jag får inte ha tillgång till digitala hjälpmedel så behöver lösa det algebraiskt eller med räknaren. Hur ser jag, eller av grafräknaren att det e minpunkt. Vilka knappar/kommandon tar man?
Mvh/H
Henrik 2 skrev:Grafen, jag får inte ha tillgång till digitala hjälpmedel så behöver lösa det algebraiskt eller med räknaren. Hur ser jag, eller av grafräknaren att det e minpunkt. Vilka knappar/kommandon tar man?
Du ska lösa den grafiskt, inte algebraiskt.
Läs ditt eget svar #32 igen, där fick du till det med grafröknaren.
Ok, jo, tänkte på att jag hade löst den grafiskt,kikar igen på inlägg 32.
Mvh/H
Nej, det var enbart att jag fick ut 23 som var utifrån uppställd funktion, men inte hur jag ser att det e minpunkt. Hur tar jag på det räknaren?
Har en TI-82 STATS?
Mvh/H
Henrik 2 skrev:Nej, det var enbart att jag fick ut 23 som var utifrån uppställd funktion,
Vad menar du?
Exakt vad och hur gjorde du och hur fick du ut just 23?
Hej Y o alla andra,
Jag förstår fortfarande inte hur jag får ut min punkt. Trinity, det du gjorde förstod jag inte, med upphöjt till - 4. E det verkligen matte 3b?
Kan inte någon säga/färklara på ett enkelt sätt hur man kommer fram till min punkten grafiskt, . Kan man slå det på grafräknaren då jag int får ha andra digitala hjälpmedel på NP?
Mvh/H
Henrik 2 skrev:[...]
Kan man slå det på grafräknaren då jag int får ha andra digitala hjälpmedel på NP?
Ja, du ska använda grafräknaren.
Titta I bruksanvisningen eller sök på "graphing with TI-82 stats" på Youtube.
förklara
Jag behöver hjälp med hur man gör. Jag skriver in funktionen, får då svaret ca 23,....och trycker sedan på Graph, men inget kommer upp. Så ska jag plota y=........
Vet inte hur jag skriver in det så jag ser grafen på räknaren. Någon som kan ge mig input/kommandon/knappar för detta?
Mvh/H
Det är ju inte bara graphing, det e ju hur man ska kunna se grafen från ett tal som man tar roten ur med dess svar?
Mvh/H
Henrik 2 skrev:förklara
Jag behöver hjälp med hur man gör. Jag skriver in funktionen, får då svaret ca 23,....
Visa/berätta exakt, knapp för knapp, vad du trycker in på räknaren innan du får "svaret" ca 23 mm.
Ta gärna bilder med mibilen och ladda upp.
och trycker sedan på Graph, men inget kommer upp. Så ska jag plota y=........
Vet inte hur jag skriver in det så jag ser grafen på räknaren. Någon som kan ge mig input/kommandon/knappar för detta?
Har du tittat på någon Youtube-video som visar hur man plottar grafer på räknaren?
Har du prövat att zooma ut?
Hej Y,
Kopierar det du skrev o som jag skriver in o det funkar för att få ut 23
Du ska skriva x^2+(500/(16+x))^2 under/innanför rotenur-tecknet
Men sedan, jag vet när man skriver in en funktion så e det y=....det e att plotta o den finns längst upp till vänster. Men vet inte hur man gör o vart man skriver om det är när man tar ett tal med roten ur. Jag vet väl hur man plottar o skriver in o sedan väljer man graph, men när det då som sagt gäller roten ur så e jag lost.
Kan du inte förklara eller vet du inte heller?
Mvh/H
Henrik 2 skrev:Hej Y,
Kopierar det du skrev o som jag skriver in o det funkar för att få ut 23
Du ska skriva x^2+(500/(16+x))^2 under/innanför rotenur-tecknet
Det hör förstår jag inte alls.
Om du bara skriver in på räknaren, utan någonting annat, så kan den omöjligen "svara" med värdet 23.
Du måste göra något annat som du inte berättar för oss, vilket är orsaken till att jag frågar exakt vilka knappar du trycker på.
Men sedan, jag vet när man skriver in en funktion så e det y=....det e att plotta o den finns längst upp till vänster. Men vet inte hur man gör o vart man skriver om det är när man tar ett tal med roten ur. Jag vet väl hur man plottar o skriver in o sedan väljer man graph, men när det då som sagt gäller roten ur så e jag lost.
Kan du inte förklara eller vet du inte heller?
Du skriver in roten ur på precis samma sätt som du gjorde tidigare, dvs med hjälp av den här knappen:

Om det inte fungerar nör du försöker så behöver du visa för oss, i detalj, steg för steg, exakt vad du gör, hur du gör det och vad som händer när du gör det.
Tillägg: 15 apr 2024 17:23
Jag skrev fel tidigare, det skulle stå
Men Y, jag gör det som du skrev, se nedan, o tar detta på räknaren o slår in o får 23 som svar med de parentser som du angett runt omkring.
Jo, vet vart roten ur knappen e med 2nd, men sedan då när jag gjort det o kommit fram till svaret 23, hur o var ser jag min,punkt på grafen?
Jag klickar graf när jag skrivit in det o fått ut 23 som svar, men fanns inget där.
Du ska skriva x^2+(500/(16+x))^2 under/innanför rotenur-tecknet
Nej, du gör inte det jag skrev.
Jag bad att du skulle berätta i detalj vad du gör, hur du gör det och vad som händer då, gärna med bilder tagna av din mobil.
Men du gör inte det. Därmed kan jag inte förstå vad det är som går fel. Och därför inte heller hjälpa dig.
Har du möjlighet att vara med på en räknestuga eller Livehjälpen onlinehjälprn (nästa tillfälle är nu kl 15)?
Hej Y,
Men jag tar ju detta o slår som du angett o får ut 23, vad vill du att jag ska säga/beskriva mer,förstår inte?. Vad e det med det som du inte förstår? Hur ska jag berätta mer i detalj av hur jag slår in på räknaren för att få svaret 23, det e ju det som du angett nedan??Problemet är ju hur jag efter det ser på grafen i räknaren att det e minpunkt?
Du har skrivit detta till mig: Du ska skriva x^2+(500/(16+x))^2 under/innanför rotenur-tecknet
Jag kanske kan vara med,måste dock gå vid 15:30 ca. Hur e man med då om så?
Mvh/H
Jag e dålig att hålla på att ,som du,ta bilder på mobilen, vet inte riktigt hur man gör..:)
Henrik 2 skrev:[...]
Jag kanske kan vara med,måste dock gå vid 15:30 ca. Hur e man med då om så?
Se bild, klicka där när det står att Livehjäloen är aktiv (grön prick).
(Jag skrev fel tidigare, det heter Livehjälpen, inte Onlinehjälpen.)

Hm, vart e den under ny tråd, får kika o se om jag ser den..
Hej Y o andra,
Kan någon vänlig själ hjälpa mig att navigera mig hur jag får ut att 23mm är en minpunkt på grafräknaren.
Mvh/H
Henrik 2 skrev:Kan någon vänlig själ hjälpa mig att navigera mig hur jag får ut att 23mm är en minpunkt på grafräknaren.
Säg till om du behöver extra hjälp med något av nedanstående steg:
- Tryck på "Y="
- Tryck på CLEAR
- Skriv in uttrycket .
- Tryck på WINDOW
- Ställ in Xmin = 0, Xmax = 30, Ymin = 0, Ymax = 30
- Tryck på GRAPH. Nu bör grafen synas i fönstret.
- Tryck på TRACE
- Flytta markören med piltangenterna tills y-koordinaten blir så liten som möjligt
Då bör det se ut så här:

Ok, det var precis detta som jag efterfrågade men du ville inte ge mig dessa steg förut Y,tack för det.
Så ska jag plota ,dvs y= o där skriva in roten ur.
Ok, testar o följer dina steg.
Mvh/H
Yes, funkade, perfekt. Så det var det som jag undrade, men då kan man även skriva in roten ur ......o plota det y= roten ur......sedan inställning på window, graph o trace.
Då e jag med.. som sagt.
Mvh/H
Henrik 2 skrev:Ok, det var precis detta som jag efterfrågade men du ville inte ge mig dessa steg förut Y,tack för det.
Det var inte så att jag inte ville ge dig dessa steg tidigare. Trist att du tror det
Det var istället så att jag inte hade någon TI-82 i närheten så jag kunde skriva ner stegen, och att jag tänkte att du lika gärna kunde titta I manualen eller på en Youtube-video för att få reda på vilka knappar du skulle trycka på för att plotta grafen till en funktion.
Hej Y,
Ok, du visste inte då du inte har en sådan, förstår.
Jo, det kunde jag gjort, kikat själv såklart, men visste inte, då jag inte e så van med funktionerna, att man kunde skriva roten ur o plotta dt o se på grafen. Men nu vet jag att vill man skriva in en funktion,vilken som så plottar man y=, window, graph och trace för att se koordinaterna.
Mvh/H
Hej,
Repeterar nu allt som jag frågat om,heheh. Vet o förstår hur man får ut svaret på denna uppgift ovan o slår på räknaren med parenteser runt omkring för att få ut det korrekta svaret. Dock förstår jag inte hur man ser att man har använt så lite guldtråd som möjligt,bara beräkningen e jag med på.
I vanliga fall med tillämpning av max och min av något så använder man andraderivatan eller teckentabell för att se karaktären på extrempunkten men här har man ju inte använt sig av någon derivata?
Mvh/H
Henrik 2 skrev:[...] Dock förstår jag inte hur man ser att man har använt så lite guldtråd som möjligt,bara beräkningen e jag med på.
I vanliga fall med tillämpning av max och min av något så använder man andraderivatan eller teckentabell för att se karaktären på extrempunkten men här har man ju inte använt sig av någon derivata?
Du ser på grafen att det är en lokal minimipunkt.
Hej Yngve,
Vilken graf?
I denna fråga o svar har ingen graf använts. Man har kommit fram till svaret på sidorna genom Pythagoras sats och sedan tar roten ur för att få fram 23;1 mm.
Om du ritar upp så jag ser o förstår.
Mvh/H
Henrik 2 skrev:Hej Yngve,
Vilken graf?
I denna fråga o svar har ingen graf använts. Man har kommit fram till svaret på sidorna genom Pythagoras sats och sedan tar roten ur för att få fram 23;1 mm.
Om du ritar upp så jag ser o förstår.
Mvh/H
Se svar #60.
Ok,kikar.
Aha, då kikar jag på det o föjer stegen.
Mvh/H
Nu så, ser jag det i graph då man plottat,skrivit in funktionen. Men då jag inte använder mig av det kontinuerligt så fastnar det inte,men tror att det har fastat lite bättre nu,i vart fall förståelsen för dessa tal..:)
Mvh/H


