4 svar
124 visningar
Trollmoder behöver inte mer hjälp
Trollmoder 407
Postad: 2 aug 2023 13:11

Tillämpningar och problemlösning Derivata

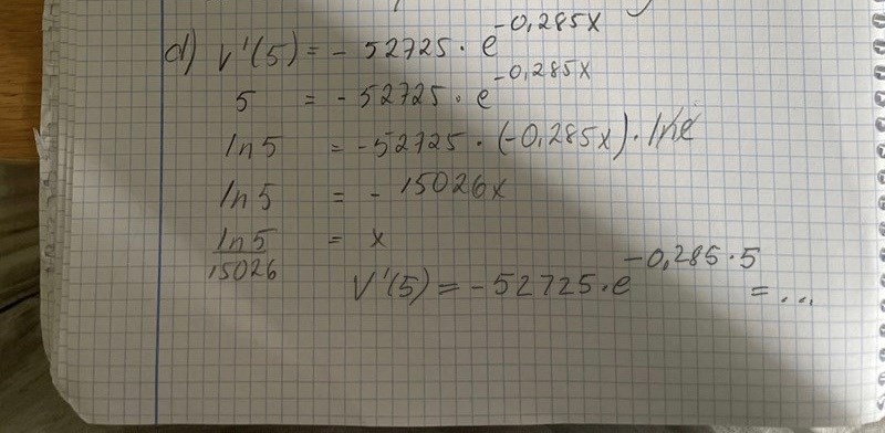
Uppgift 2375 d, sliter jag med och har löst alla utom d. Vad gör jag för fel?

Jan Ragnar 2227
Postad: 2 aug 2023 13:33

Trollmoder 407
Postad: 2 aug 2023 13:49
Jan Ragnar skrev:

Hej, Jan Ragnar, vad menar du?

Jan Ragnar 2227
Postad: 2 aug 2023 13:56

Sätt in x=5 i beräkningen av derivatan för V(x).

Trollmoder 407
Postad: 2 aug 2023 14:01

Ah, ok tack, såg inte att du skrivit på sidan av blocket. 

Svara
Close