2
svar
39
visningar
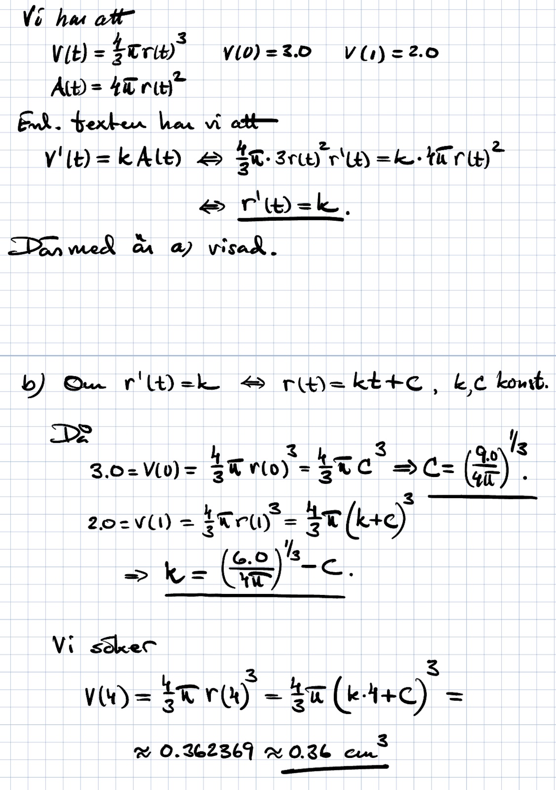
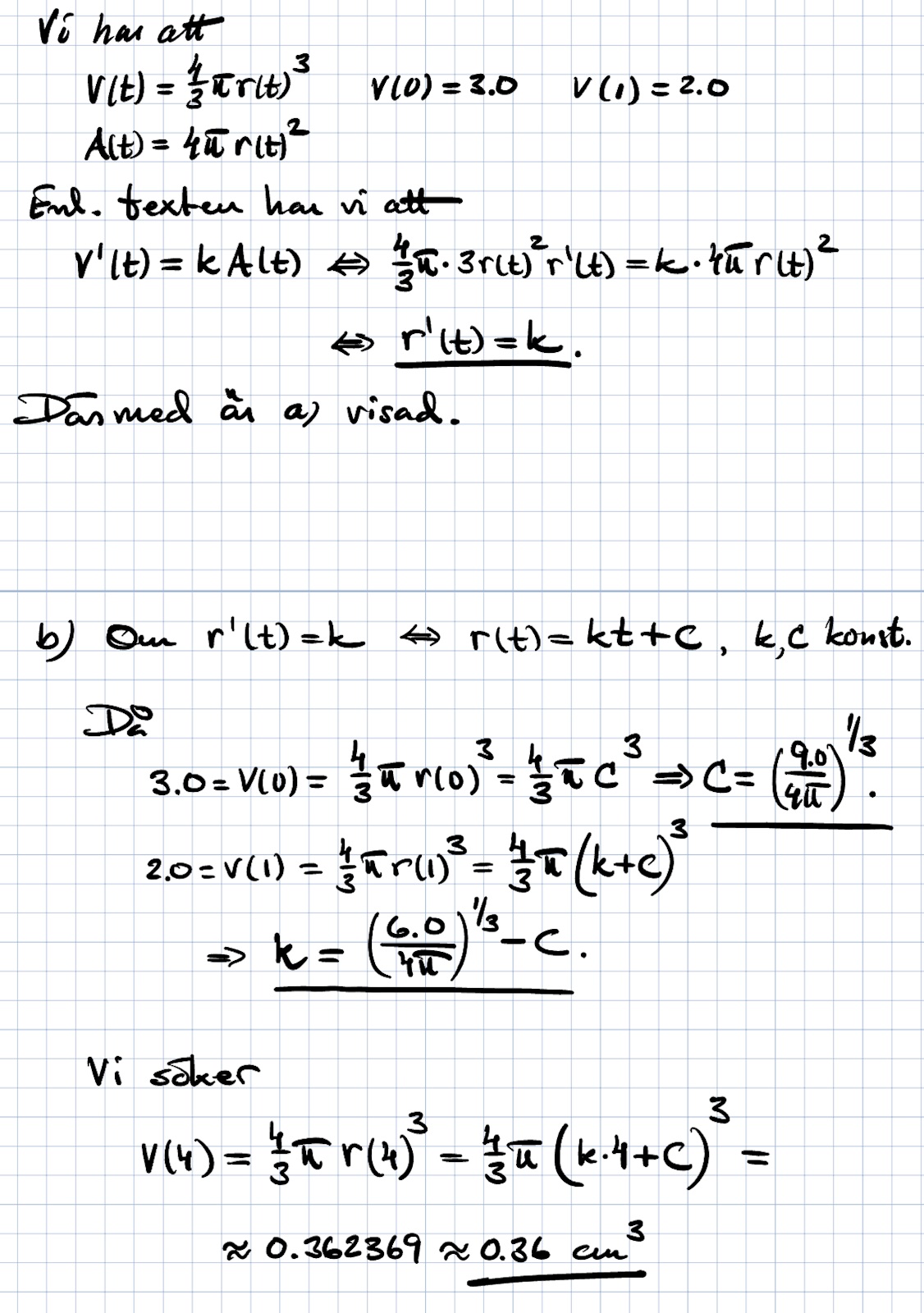
Tillämpningar och visa att uppgifter
Jag har föröskt börja med denna uppgift men jag fortsår inte själv vad jag har föröskt lösa eller vad frågan är i a)

Trinity2 skrev:
På a hur vet jag att jag ska använda just den funktionen du skrev av v(t) varför byter jag just ut den med h
Visa spoiler
Skriv ditt dolda innehåll här

