4 svar
165 visningar
emelie1234 354 – Fd. Medlem
Postad: 16 mar 2022 11:43

Tiologaritmer

Hej jag skulle behöva hjälp med denna! 

Lös ekvationssystemet

lgx2  + lgh= 10 

x + y = 1100.  

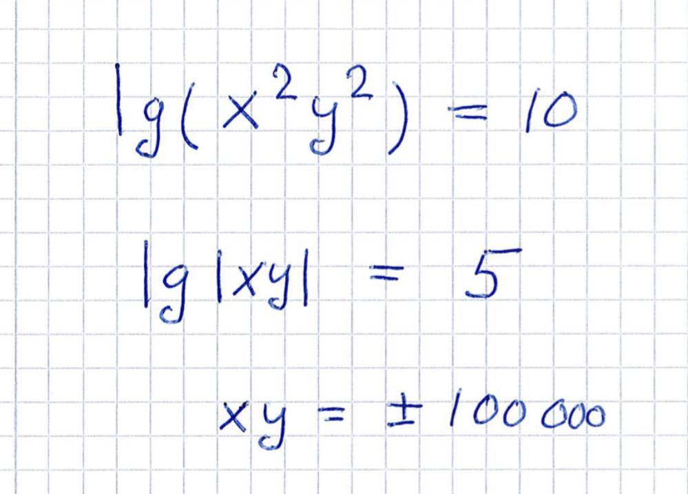
Jag förenklade först lg(x2 * y2) = 10 men sedan står det att lg(xy) = 5. Hur blir det till 5? 

Moffen 1877
Postad: 16 mar 2022 11:46

Hej!

Det gäller att x2·y2=x·y2x^2\cdot y^2=\left(x\cdot y\right)^2. Därefter används logaritmlagen lnab=b·lna\ln\left(a^b\right)=b\cdot\ln\left(a\right).

Fermatrix 7621 – Fd. Medlem
Postad: 16 mar 2022 11:51

Du har nog skrivit fel, systemet är underbestämt eftersom du har 3 obekanta och 2 ekvationer. Eftersom det är matte 3 så tevker jag på att det är någon slags parameterlösning man söker.

Ska det kanske vara lg(x^2)+lg(y^2)=10 och x+y = 1100?

emelie1234 354 – Fd. Medlem
Postad: 16 mar 2022 11:52

Ja precis det blev fel i början. Min lärare har skrivit såhär men förstår inte hur det blir 5 samt 100 000

Ture 11144
Postad: 16 mar 2022 12:08

Man utnyttjar några räkneregler för logaritmer

Först att lg(a)+lg(b) = lg(ab)

Sen att lg(a^b) = b*lg(a)

i ditt fall 

lg(x2y2) = lg((xy)2) = 2*lg(xy)

sen delar han bägge led med 2

Svara
Close