Titreringskurva värden stämmer inte med teoretiska! Varför?
Jag skriver en labbrapporter och ska skilja mellan två syror där ena är malonsyra och andra är citronsyra! Genom titrering har jag fått en titerkurva men värdet på dess halvtoterpunkt stämmer inte med det pka som är teoretiskt och dessutom saknas ett värde så malonsyra ska ha 2st pka men genom kurvan ser man enbart 1! Beror det på att syran redan va spädd i vatten så den redan avgett sin OH?
Katrin123 skrev:Jag skriver en labbrapporter och ska skilja mellan två syror där ena är malonsyra och andra är citronsyra! Genom titrering har jag fått en titerkurva men värdet på dess halvtoterpunkt stämmer inte med det pka som är teoretiskt och dessutom saknas ett värde så malonsyra ska ha 2st pka men genom kurvan ser man enbart 1! Beror det på att syran redan va spädd i vatten så den redan avgett sin OH?
Det går inte att svara på utan att se din titrerkurva. Lägg upp bilden!
Katrin123 skrev:
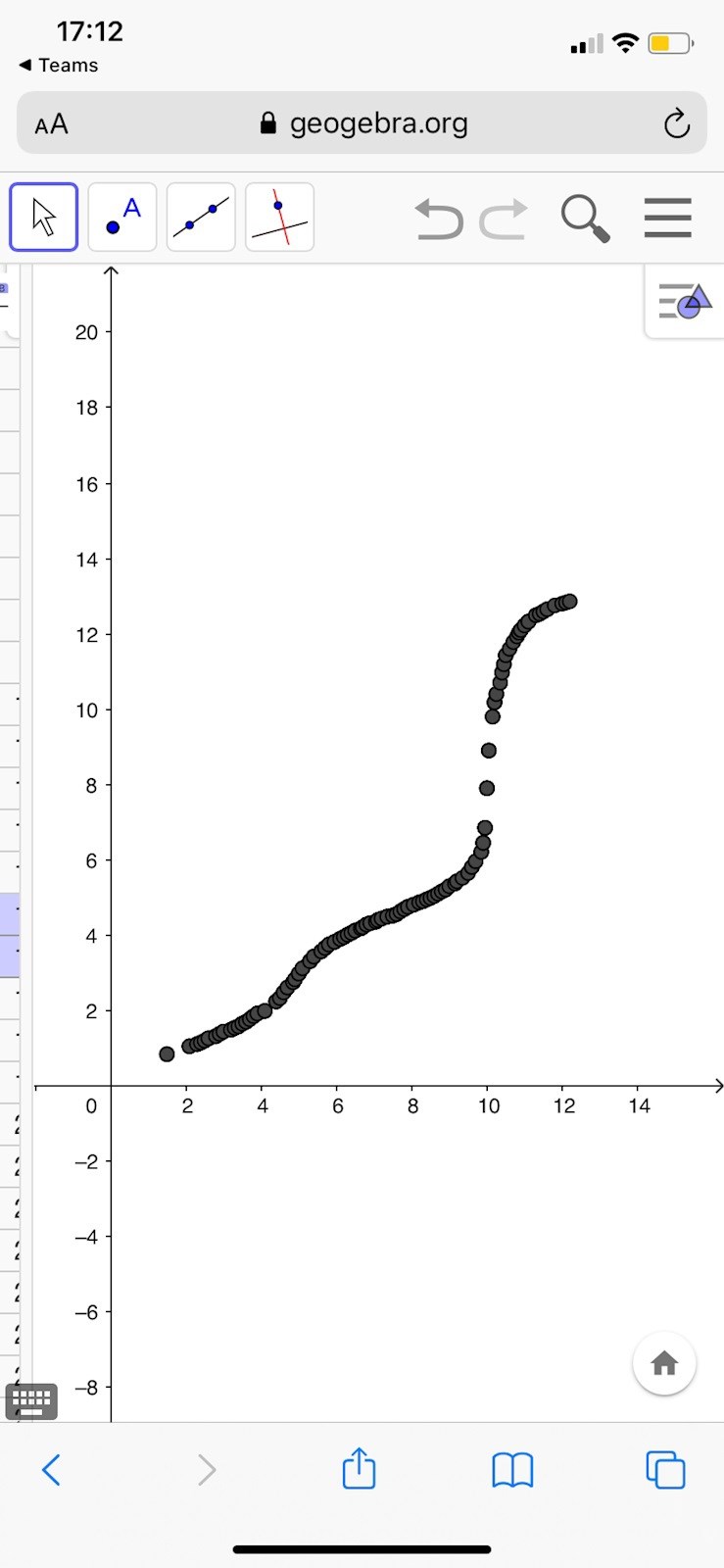
Den övre bilden har två ekvivalenspunkter, en vid pH = 5 och en vid pH = 10, ungefär. Den undre har bara en, vid pH = 13.
Precis men i verkligheten ska de ha 3st respektive 2 så det saknas en och jag undrar varför det är så när själva titreringen är korrekt?
Vilka pH-värden skall de tre respektive två ekvivalenspunkterna ha rent teoretiskt?

den med 2st pka är för Malonsyra och den med 3 är för citronsyra
Vilken koncentration hade du på syrorna från början? Om vi vet det kan vi beräkna pH för syrorna i EP1, EP2 och i det ena fallet även EP3.
Fast om man tittar på pKa-värdena för citronsyra så ser vi att två av dem ligger med bara ungefär 1,6 pH-enheter emellan, och då är det nog svårt att se den ekvivalenspunkten, eftersom lösningen måste vara buffrad där (man brukar räkna med bra buffertverkan vid pKa1 pH-enhet).
Tyvärr så fick vi inte reda på de men jag är mer ute efter varför man inte får det sista värdet för min lärare sa att det alltid kommer se ut så när man gör en titrering och jag har både sökt och letat i böcker o hittar inget om varför det alltid är så vid titrering men att det teoretiska värdet är nått annat
För citronsyra så kan vi inte se den första ekvivalenspunkten, eftersom systemet innehåller hyfsat höga koncentrationer av både divätecitratjoner och vätecitratjoner, så lösningen är buffrad. Nästa ekvivalenspunkt ligger ungefär mittemellan pKa2 och pKa3, precis som man kan vänta sig.
För malonsyran kan jag inte hitta på någon bra ursäkt!
ja så kan det vara men kan det va så att eftersom dessa syror är i lösningsform att de redan avgett sina protoner till vattnet så man missar ett värde?
Nej. man får ju en ekvivalenspunkt om man titrerar den starka syran väteklorid med NaOH,så den förklaringen håller inte.
Okej tack för hjälpen ändå!
Jag räknade lite mer i det här inlägget - det är nog malonsyran som har två ekvivalenspunkter!

