6
svar
128
visningar
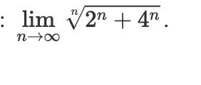
Tjena, har försökt lösa denna matteuppgift angående gränsvärde. Men har helt fastnat!

går ju mot och dess n-te rot är 4. Alltså går det hela mot 4. Borde kanske göras lite rigorösare ...
Tack för ditt svar, hur vet vi att 2n + 4n går mot 4n . Går det att ställa upp någon ekvation som leder till att gränsvärdet blir 4, eller handlar det mer om att ha förståelse och se sambandet?
Det var det där med rigorösiteten ja. Räcker det med att = går mot noll?
Tack, de hjälpte mig på traven!
hej, hoppade in på denna tråd. Hänger inte riktigt med på hur du får in divisionen i ekvationen?
Bryt ut 4n under rottecknet (någon ekvation är det inte):
2n + 4n = 4n(2n/4n + 1) = 4n((1/2)n + 1)