Tokigt algebra problem, med flygande katter, rivna gardiner, och babysbyte matriser
Problemet ser ut såhär:
Bestäm determinanten av matrisen för den linjära avbildning som definieras av att bildas genom att först v avbildas på , för vektorn , sedan speglas denna kryssprodukt i planet , sedan projiceras denna spegelbild på planet , och till sist vrids denna projektion vinkeln runt linjen (Du kan själv bestämma åt vilket håll vridningen sker). (Positivt orienterat ON-system.) Räkna determinanten.
När jag såg den tänkte jag verkligen att ge upp för att det gjorde ingen sense. Det är typ lika jobbigt som: ''ta en katt, tvätta den ordentlig, kasta den igenom gardinen i trädgården, platta den mot marken, och vrida den ordentligt kring en kratta -du kommer att behöva en babys här för att göra en babysbytesmatris. Determinera hur katten mår efter detta och skicket av gardiner''.
Men jag har gjort en ärligt men misslyckat försök, för vilken jag behöver hjälp.
Jag har tolkat problemet såhär:
1.
2. Spegling I planet med normalen
3. projicering I plan med normalen
4. hitta en ny ON-bas och rotera med
5. multiplicera matris från 1. 2. 3. 4. ihop.
Jag ber om ursäkt om jag fotar mina lösningar, jag har så himla mycket kvar att jag hinner inte skriva om allt i latex.
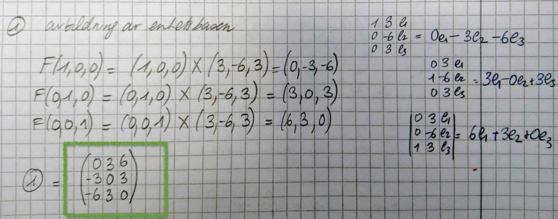
1. 
Matrisen A, , aka tvätta katten, är:
2.
Matrisen B, spegling i planet , aka kasta katten igenom gardiner hittar jag:
3. 
För matris C, projicering i plan , aka platta katten på marken hittar jag C=
4. 
För rotationen, aka babysbytes operation, har jag en vaaaaag aning om vad jag ska göra. Byta till en praktisk bas, rotera i den en praktisk bas, gå tillbaka till din gamla bas.
5. Multiplicera ihop dem 4 matriser. Stämmer det?
Arrrh redan en slarvfel!
Jag kommer ihåg att vi pratade nångång om diagonala matriser... är det nåt jag borde ha insett här?
Hmm det blev noll. Det var definitivt något som jag skulle ha insett.
, så allt är noll.
OMG. It was true, all of it. The Jedi, the Sith, the Determinant and the Baby.
Du får gärna förklara om basbytesmatris om du orkar :D. Eller blir det långt?
dajamanté skrev :Arrrh redan en slarvfel!

NEIN, VERBOTEN!
Det är lätt att tro att man får lösa ut en 3:a sådär, man får ju göra så med matriser. Man måste skilja noga mellan matrisen och dess determinant . Matrisen är ett helt talschema. Determinanten för är ett enda tal som på ett relativt komplicerat sätt beräknas genom kombinationer av elementen i .
I själva verket gäller
dvs
Nu spelar det dock ingen roll i just det här fallet eftersom determinanten var 0. Men jag misstänker mer tur än skicklighet i just denna kattvätt!
Du får gärna förklara om basbytesmatris om du orkar :D. Eller blir det långt?
Jag antar att du trots att du redan löst hela uppgiften (0 gånger något = 0) funderar på hur man roterar runt en linje och du var på helt rätt spår.
Ta fram en normerad riktningsvektor för linjen du ska rotera runt. Låt denna vara en av basvektorerna i en ny bas, t.ex. i basen . Det innebär att du kan använda den vanliga rotationsmatrisen för rotation kring z-axeln som i det primmade systemet (eftersom vi valde den tredje axeln att rotera runt). De övriga basvektorerna väljer du så att utgör en en högerorienterad ON-bas.
Om du har en vektor vars koordinater ges av i det gamla systemet så blir dess koordinatvektor i den nya systemet. Ts kolonner utgörs som vanligt av den nya basen uttryckt i den gamla.
Rotera runt den tredje axeln (rotation runt "det nya systemets z-axel")
Transformera tillbaka till den gamla basen:
Notera att sambandet är en sorts babykastande ni gått igenom på föreläsningen och som vi diskuterat här: https://www.pluggakuten.se/trad/basbytesmatris/
Dvs, vid övergång från en bas till en annan transformeras matrisen för en linjär avbildning, A, enligt
Stor tack!!
Ja, det var riktig tur och inte skicklighet som du misstänkte.
Jag måste läsa om det ordentligt med kaffe imorrn.
Men du, blir det:
för att den är en ON bas? Dvs att vi skulle kunna skriva lika gärna ?
Jag frågar för jag har funderat ganska länge på det idag i en uppgift, där vi hade koordinat i basen , som vi skulle utrycka i basen , och eftersom vi hade
Det räckte med att transponera den och multiplicera med för att få allt uttryckt i den nya basen gotisk-f. Därför frågar jag det.
dajamanté skrev :Men du, blir det:
för att den är en ON bas? Dvs att vi skulle kunna skriva lika gärna ?
Ja, vid basbyte mellan två ON-baser blir transformationsmatrisen T ortogonal. Då är
Och därmed är
.
Andra bra saker att känna till; en matris är ortogonal om och endast om dess kolonner är parvis ortogonala och har längden 1. Du kan därför testa att T är ortogonal genom att bilda
Determinanten för en ortogonal matris är antingen 1 eller -1. Determinanten säger något om matrisens och därmed avbildningens geometriska betydelse. Du kommer läsa mer om geometriska tolkningar när ni går igenom egenvektorer och egenvärden.
Tackar! Jag drömde inatt att man får inte blanda koordinater och basbytesmatriser, så det måste gå framåt...
Vi ska inte gå igenom egenvektorer och egenvärde iår.
