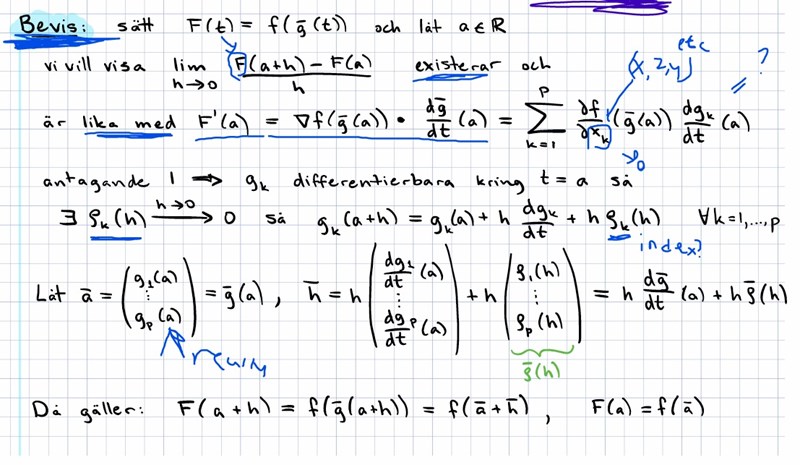
Tolka bevis för Kedjeregeln (steg 1)

Har ett par frågor
- Kan någon beskriva eller visa sista ledet med ?
- Vad är/menas med k(h)?
- Allt vad det gäller a fast skrivet på matris form, och med g(a) etc. Samma för vektorn h.

Igen vad menas med II(h,k)II (just det är inte med men aa)
- Kanske förklara hur nabla hamnade i hela gröten ()
Är g från R till Rn och är f från Rn till R?

Här är antagande 1
Men jag tror detta är mer det du söker tror jag

så ja basically fast med p
Definition: En funktion H: Rn -> Rm är differentierbar i a om H(a+h) - H(a) = La(h) + r(h), där La är en linjär avbildning och r en funktion som uppfyller .
Känner du igen denna definition eller liknande?
Övning 1. Visa att det finns en funktion sådan att och .
PATENTERAMERA skrev:Definition: En funktion H: Rn -> Rm är differentierbar i a om H(a+h) - H(a) = La(h) + r(h), där La är en linjär avbildning och r en funktion som uppfyller .
Känner du igen denna definition eller liknande?
Övning 1. Visa att det finns en funktion sådan att och .
Nej jag känner till denna dock:
f(a+h)=f(a)+Ah+h*p(h) där A=f'(a) och p = ((f(a+h)-f(a))/h)-f'(a)).
Okej så i detta fall är A en linjär avbildning då?
Ey vänta hur blidde det La(h), det är gånger h liksom f'(a)h eller Ah?
Vet dessutom inte riktigt vad en linjär avbildning är. Det kommer väl från linjär algebra, det fanns la två definitioner som gjorde det till en linjär avbildning (behövde söka upp denna):
AJA, detta är mitt försök på att bevisa det dock lite förvirrad kring La:


Ja A är samma som La. Och så har man redan från början infört att r kan skrivas på det sätt som jag skrev på sista raden i #4.
Så vi har att H(a+h)-H(a) = Ah + .
Låt (ek) vara standardbasen för Rn.
Övning 2. Visa att .
PATENTERAMERA skrev:Ja A är samma som La. Och så har man redan från början infört att r kan skrivas på det sätt som jag skrev på sista raden i #4.
Så vi har att H(a+h)-H(a) = Ah + .
Låt (ek) vara standardbasen för Rn.
Övning 2. Visa att .
Nah, jag vet inte hur man visar det på övning 2? Vet inte ens var man ska börja.
. Utnyttja nu att H är differentierbar i a.
PATENTERAMERA skrev:. Utnyttja nu att H är differentierbar i a.
Jag hänger inte med i resonemanget. Om H är differentierbar i A sååå.. är den kontinuerlig? Vi får en gradient? Vi får en riktningsderivata? Känner mig lost
Aha på andra raden gjorde du ren substition fast där h=. Aha du tänker så. Men jag visste inte ens att man kunde ha en bas i uttrycket det är nytt för mig lol
Jodå. Sedan kan vi uttrycka varje h med basen.
h = .
Vi får då
.
Okej jag hänger någorlunda med, jag kollade mer på bevis men jag hänger inte med hur detta kommer in:
, hur får de in nabla?

Se #12. Notera att
,
.
PATENTERAMERA skrev:Jodå. Sedan kan vi uttrycka varje h med basen.
h = .
Vi får då
.
Menar du ? Asså jag hänger med sedan för då är det substitution igen ahh vänta och A = , eller Aei rättare sagt
Ja, jag tänkte mig att h , så det kanske är tydligare att ha pil över för att indikera att det är en vektor.
Nja, gradienten är ju en vektor och A är en linjär avbildning. Så inte riktigt samma.
Man skulle dock kunna säga att är As avbildningsmatris relativt standardbasen.
PATENTERAMERA skrev:Nja, gradienten är ju en vektor och A är en linjär avbildning. Så inte riktigt samma.
Man skulle dock kunna säga att är As avbildningsmatris relativt standardbasen.
Åå gudars får huvudvärk, men hänger med hyfsat tror jag, nu har vi bevisat allt som behövs, framförallt vad det gällde rho. Jag vet inte ens om de visade särskilt mycket i beviset det med sigma men nu förstår vi varför detta gäller. 
Så jag tror det är färdig bevisat men förstår inte riktigt hur/varifrån du fick detta:

Ah vänta, det är la bara enl definitionen för en vektor kanske också är h dess koordinater och e dess bas med ökande index. Hur vet vi att den går upp mot just n dock?
Ja, precis
.
PATENTERAMERA skrev:Ja, precis
.
Ah okej, nice men då var detta beviset klart tror jag hehe. Tackar! Kan inte riktigt confirma varför det just är p det går upp mot men vi kör på det lol! Låter bra liksom.
Se #3. f: Rp -> R.
