1
svar
66
visningar
fysik3 behöver inte mer hjälp
Tolka svaret


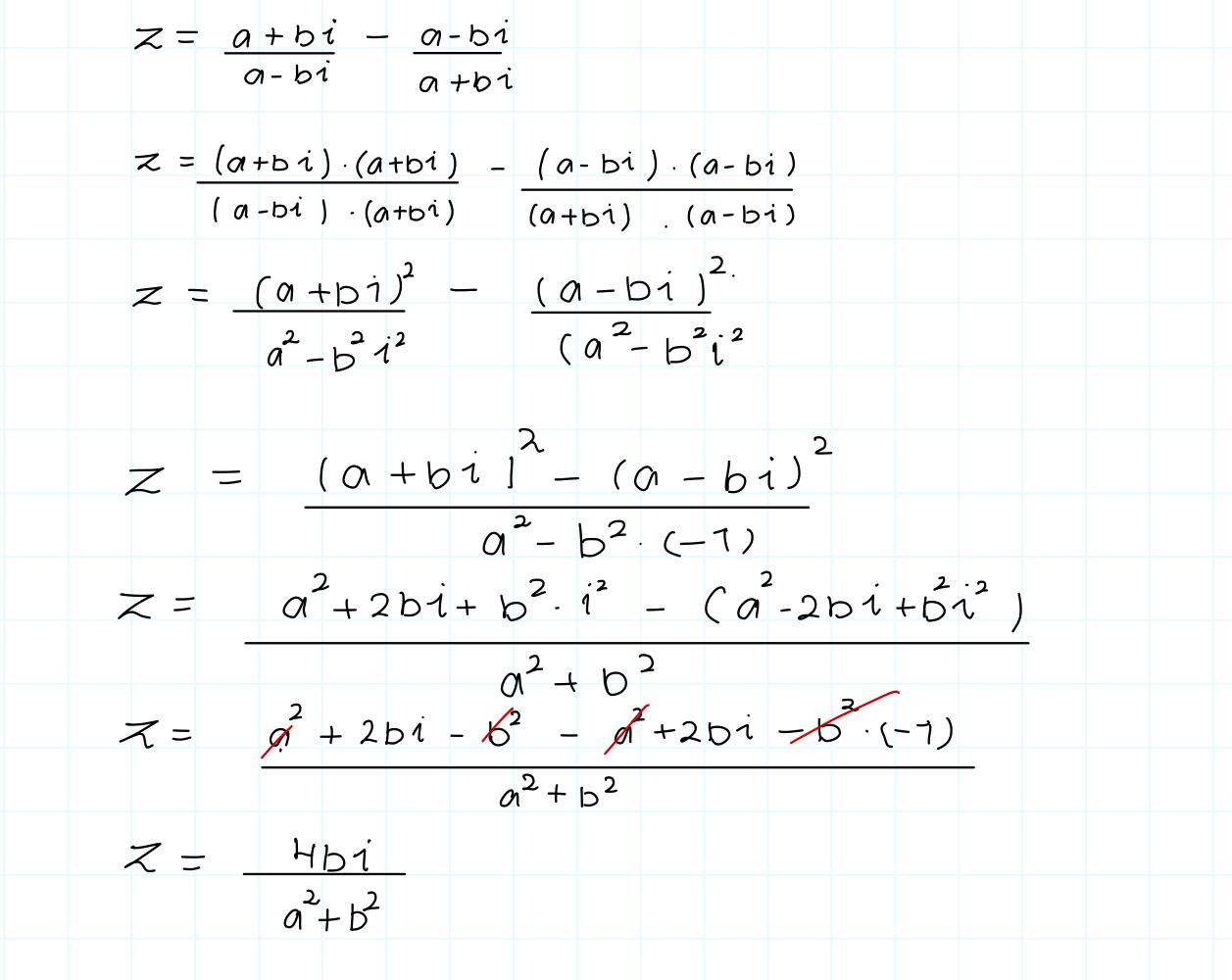
Genom att (4bi)/(a^2 + b^2) så kan man dra slutsatsen att Re(z) = 0. Hur blir det så? Jag tänkte att jag borde bli av med nämnaren för att få fram kvoten eller? Hur jag tolka svaret
Du ser att z är 4b/(a2+b2) gånger i.
4b/(a2+b2) är ett reellt tal, så z är ett rent imaginärt tal, utan realdel.