Tolkning av Föreläsningsanteckningar (1_0)
Jag bara undrar ett par saker
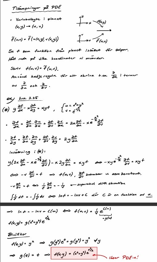
0. Vad innebär det att lösa en PDE?
1. Vad är det som händer och varför gör man den här processen?
2. Hur får man skriva f(u,v) = f(u(x,y),v(x,y))?
3. Varför är C en funktion av u och inte bara en vanlig konstant, liksom hur ska man veta det
4. Jag antar att innan vi får f=, så upphöjde vi med "e" och för -ln v antar jag att man skrev om enligt denna logaritm lag innan vi upphöjde med e:
5. Är g(u) bara en random tilldelad funktion namn de gav?
6. Hur vet de att f(0,y) = y2 eller är det uppgiften som ger det? I så fall varför är g(y2)=y2?

Vad är det som händer här?
Det jag kan är att det betyder att funktionen är definierad i Rn med värden i Rm. Hur ska jag tolka nedan.
Vad innebär det också om en funktion är reellvärd eller vektorvärd? Vad har det för praktiskt tillämpning?

Två saker undrar jag här
1. Är derivatan ett gränsvärde? I så fall hur vet jag om det existerar?
2. Den sista parantesen och framförallt efter sista kolumnen, vad betyder, händer? Är det bara en annan beteckning för derivatan och varför skriver man så i sådana fall?

Två saker här också
1. Finns det någon bild på detta eller förklaring, varför blir det det sedan vektoriserat vid n>1
2. Är , För jag vet att liknande förekommer i nämnaren för projektionsformeln
3. Vad menar de med cirkelskiva och klot?

Vänta, aha vänta det blir vektor form för att vi är i högre dimensioner (x,y,z... etc), för n=1 är vi bara på tallinjen?
Jag tror jag måste se en bild för att förstå detta. Jag trodde man bara kunde närma sig från antingen höger eller vänster som vanligt att göra. Har detta att göra med n=2 cirkelskiva som omgivning?
