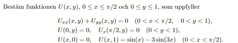
Tolkning av lösning till PDE

![]()
Jag är rätt säker på att jag har löst problemdelen rätt och kollat att min lösning uppfyller allt. Det jag har problem med är den fysikaliska tolkningen. Det ska gå att tolka betydelsen direkt ur ekvationen samt rand/begynnelsevilkoren. Ska tydligen också finnas givande exempel i kursboken men jag har inte hunnit få hem den än.
Hur ska jag tänka kring vad detta skulle kunna modellera? Jag har ritat upp lösningsfunktionen i en 3D grapher och det var inte så hjälpsamt. Min första tanke är någon typ av värmeledning men vet inte om det är på rätt spår. Några tips?
Tack på förhand!
Det är värmeledningsekvationen lapU=U_t men där U_t har satts till noll, så vi tar reda på jämviktsläget givet de initialvillkoren som ges i uppgiften, dvs temp noll längs tre av rektangelns kanter och och den där funktionen på den fjärde sidan.
Qetsiyah skrev:Det är värmeledningsekvationen lapU=U_t men där U_t har satts till noll, så vi tar reda på jämviktsläget givet de initialvillkoren som ges i uppgiften, dvs temp noll längs tre av rektangelns kanter och och den där funktionen på den fjärde sidan.
Tack för svaret,
Jag får inte att U är 0 längs tre sidor utan bara 2. Min lösning är funktionen:.
När jag ritar upp denna är den noll längs x=0 och y=0 men varierar annars. Det är väl x-derivatan av U som är 0 längs x=pi/2 och inte U självt? Är det samma tolkning oavsett fast där den är isolerad till 0 i två sidor?
Ah ursäkta, det är precis som du säger. Det andra randvillkoret angår x-derivatan, inte själva U.