3 svar
368 visningar
Volens28 behöver inte mer hjälp
Volens28 29
Postad: 10 apr 2021 11:22

Tolkning av överbestämda system

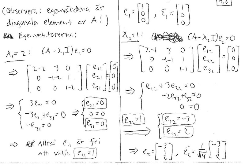
I första ekvationssystemet väljer man e11=1 eftersom att e11 inte finns med i systemet och därmed är "fri". Detta går jag med på.

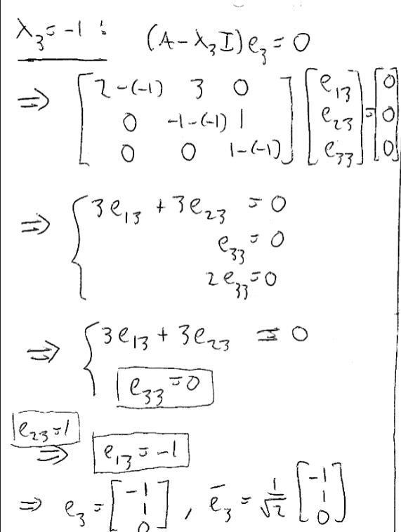
I de två andra systemen förstår jag inte riktigt varför man just väljer e22 =1. Respektive det sista systemet där man väljer e23=1.

Är det så att så fort det är ett överbestämt system så kan man välja vilken variabel som helst till att vara något tal och sedan lösa ut resten ?

Micimacko 4136
Postad: 11 apr 2021 00:18

Vad går uppgiften ut på? Vad är överbestämt?

Volens28 29
Postad: 11 apr 2021 12:51
Micimacko skrev:

Vad går uppgiften ut på? Vad är överbestämt?

Uppgiften går ut på att finna egenvärden och egenvektorer till A=2300-11001

Man hittar 3st egenvärden λ1 =2 , λ2=1 och λ3=-1

Löser sedan ut egenvektorerna.

Min fråga är då kopplat till mitt första inlägg.

Alltså att i de tre ekvationssystem som jag får, så väljer man alltid en variabel till att vara 1.

Hur och varför?

Jag fick lära mig att ekv.systemen är överbestämda för att man har exempelvis, i första fallet, 3 ekvationer och 2 okända, och att det kan ha något med det att göra.

Micimacko 4136
Postad: 11 apr 2021 18:54

När man har tagit bort egenvärdet från diagonalen har man gjort 3 ekvationer till max 2, men du har fortfarande 3 okända, så det är underbestämt. Är det överbestämt så finns ingen lösning till allihop.

Om du tittar på ekvationerna så är alla högersidor 0, så om du gångrar alla ekvationer med något tal kan du ta in det i de okända och få samma ekvation. En egenvektor är en egenvektor pga sin riktning, men längden spelar ingen roll. Så när du väljer ett värde på första okända bestäms längden på egenvektorn du räknar ut. Annars kan du kalla den första för en bokstav istället och bara få en riktning istället.

Svara
Close