Tolkning av transitivitetsbevis
Hej!
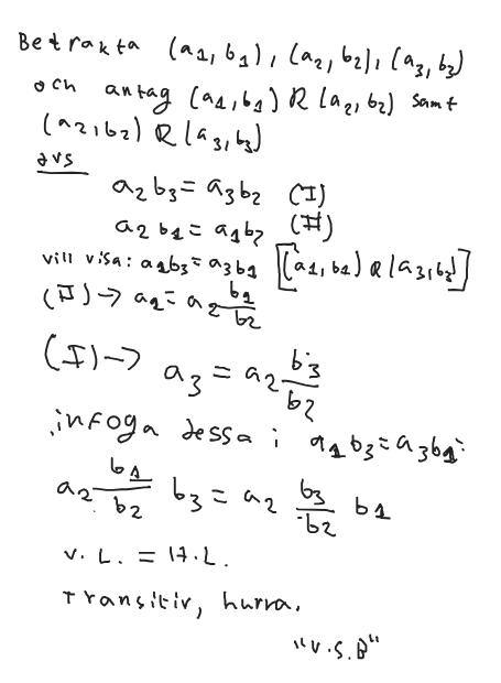
Jag kikar lite på följande uppgift

Facit säger:
"Om b får vara 0 är relationen inte transitiv"
(detta är allt som står i facit)
När jag "bevisade" att är transitiv gjorde jag följande. "Bevisade" eftersom det inte är ett bevis. Bara en liten skiss. Därav "V.S.B." inom "-tecken.

Jag kan se rent algebraiskt varför b inte kan vara 0 (nämnarna blir odefinierade) men jag kunde inte komma på något bra intuitivt exempel där vi har 0 i någon av de två objekt som jämförs som leder till att relationen inte är transitiv.
Det är detta jag skulle vilja ha hjälp med!
Hoppas ni kan läsa min handstil för övrigt, fortfarande nybörjare på USB-ritplattor :)
(1,1) (0,0) (2,2)
Smutsmunnen skrev:(1,1) (0,0) (2,2)
Ah, såklart! Tack så mycket!