1
svar
26
visningar
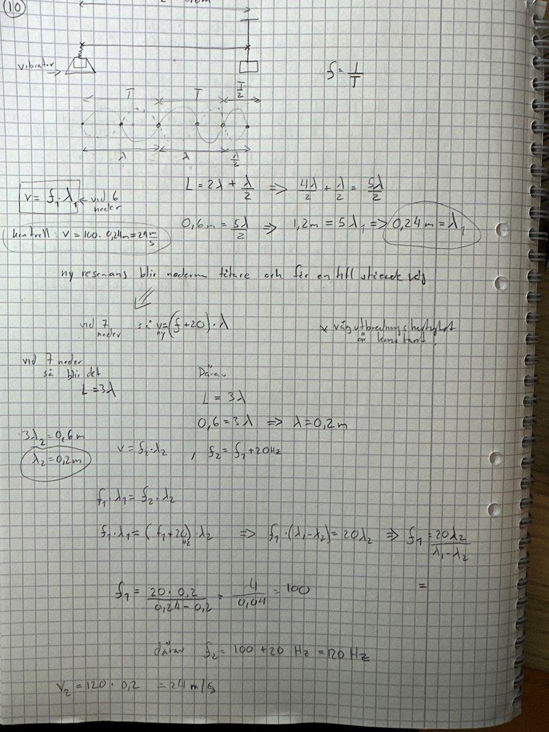
Tongenerator och resonans


hejsan
jag har fastnat på uppgiften. Skulle jag kunna få lite vägledning?
