Topologi och metrics
Detta är min lösning. Sen fastnade jag. Idag fick vi ut lärarens lösningar. Nedan ör min lärares lösning. Och jag har gjort rätt så långt jag kom. Men sen förstår jag inte vad som händer. Någon som vill förklara tydligare?.jpg?width=800&upscale=false)
Till att börja med. Låt oss meditera lite över vad ekvivalensen egentligen betyder. Jag hatar dubbelolikheter, så i mitt huvud skriver jag genast om detta till två stycken olikheter:
Ett sätt att tolka den första olikheten är att säga att om och är nära varandra -metriken (så att är nära 0), så kommer de även att vara nära varandra i -metriken, eftersom aldrig kan vara mer än gånger så stort om .
Den andra olikheten kan tolkas på motsvarande sätt.
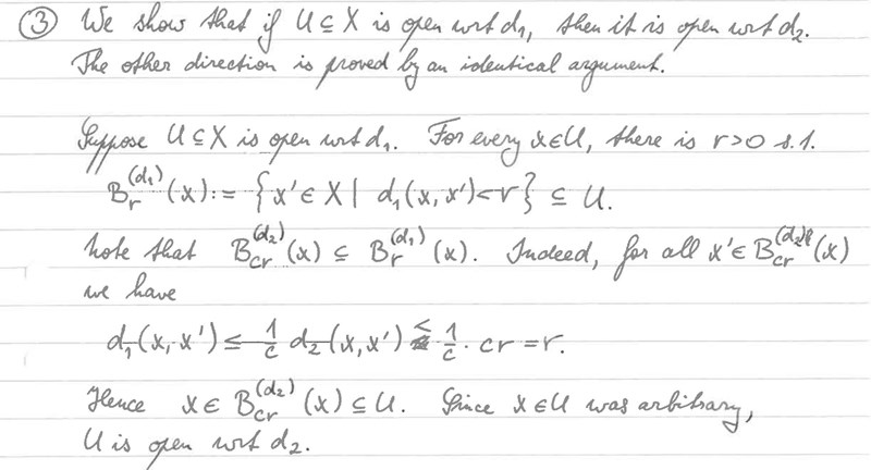
Problemet. Vi har antagit att är öppen med avseende på -metriken, och vill visa att då måste vara öppen med avseende på -metriken.
Sättet vi gör detta på, är att låta vara en godtycklig punkt, och sedan visa att det finns vad jag brukar kalla lite "wiggle room" runt . Alltså vi vill hitta någon liten radie sådan att om vi håller oss inom den radien (med avseende på ), så kommer vi garanterat inte trilla utanför mängden .
Jahapp, hur hittar man en sån radie då?
Precis som du är inne på så vet vi ju redan att det finns en sådan radie med avseende på eftersom är öppen med avseende på . Vi kan kalla denna radie .
Kom ihåg tolkningen: om vi håller oss inom denna raide (med avseende på ) så kommer vi inte trilla utanför . Symboliskt kan vi uttrycka detta precis som du gjorde:
Tricket nu är att välja vår -radie så att vi håller oss inom -wiggle roomet. Och det är inte så svårt. Kom ihåg att ju begränsas av vad enligt olikheterna som vi gick igenom ovan.
Med bakgrund av det väljer vi att hålla oss inanför radien avseende på . Varför slänger jag in ett där? Jo, om så gäller nämligen
vilket ju garanterade att .
Eftersom vår punkt valdes godtyckligt, så konstaterar vi att det går att hitta sådant här -wiggle room runt alla punkter i , och drar slutsatsen att måste vara öppen med avseende på . Tada!
Alternativ notation. Med din lärares notation så kan -wiggle roomet uttryckas som att . Att det finns plats ett -wiggle room innanför kan uttryckas som att .
Var detta någorlunda begripligt? Om inte, så är det bara att säga till, så försöker vi förklara bättre.
Några följdfrågor att fundera på:
- Kan du visa omvändningen, dvs. att om är öppen med avseende på , så är öppen även med avseende på . (Beviset kommer se nästan likadant ut!)
- Kan du ge exempel på några olika men ekvivalenta metriker på ?
Aahaa tack!! :D