Topptriangelsats
Hej! behöver hjälp med det här talet när det gäller uträkningen.
Lina och Sara är ute och seglar i en båt som de har lånat. De seglar mot en bro
och börjar fundera på om masten är för hög för att båten ska kunna passera under
bron. För att kunna bestämma mastens höjd gör de några mätningar.
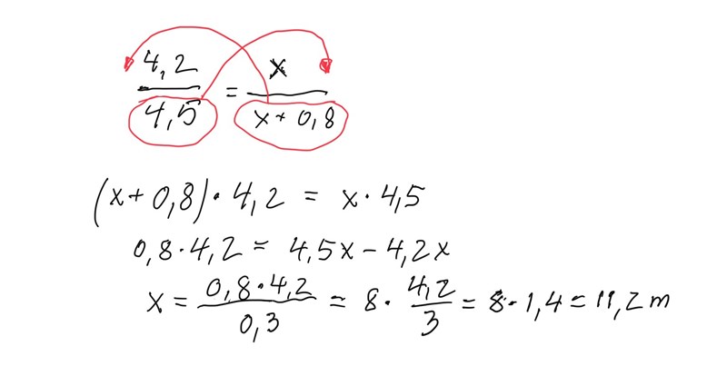
Lina och Sara mäter avståndet från mastens fot och rakt ut mot akterstaget och
finner att det är 4,50 m. Sedan mäter de avståndet från masten till akterstaget
0,80 m högre upp och parallellt med första mätningen. Det avståndet är 4,20 m.
Se figur.
Använd de mätningar som Lina och Sara har gjort och bestäm mastens höjd
Har kommit så här långt i alla fall.
4,2/4,5=X/(X+0,8) och vet att X+0,8= Mastens hela höjd.
men hur går jag vidare?
Jättebra och helt rätt början.
Du har en ekvation där du vill lösa ut x.
Ett bra första steg är att multiplicera båda sidor med x+0,8.
Vad bra. Ja precis för då får man X själv på en sida visst tänker jag rätt då?
Kommer bara fram till 1,7*X sen tar de stopp där. då har jag multiplicerat in x+0,8. vad gör jag för fel?
Svårt att avgöra var det blev fel.
Du borde först ha fått: 4,2•x + 4,2•0,8 = 4,5•x
Jaha ja nä de fick jag inte så jag ha nog räknat fel från första början. hur ska man multiplicera in?
sandra gustafsson skrev:Jaha ja nä de fick jag inte så jag ha nog räknat fel från första början. hur ska man multiplicera in?
Visa hur långt du kommer så kan vi hjälpa dig vidare därifrån.
