Toppytor, bottnar. Gauss. del 2.
Detta är som en fortsättning på min andra tråd.

LÖs:
Denna har ju bara en enhetsnormal, nu är väl detta en ellips. Men hur kan typ.. en kon ha två, en ellips ha en enhetsnormal? och frågan återstår: hur kan man se om den pekar upp (0,0,1) eller ned (0,0,-1)?
Det står i Pluggakutens regler att man bara skall ha en tråd om varje fråga. Om du fortsätter bryta mot Pluggakutens regler, riskerar du avstängning. Tråden låses - du kan fortsätta i din första tråd. /moderator
OK jag låser upp den - men skriv då inte att det är en fortsättning på din andra tråd!
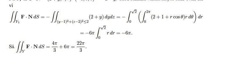
Enhetsnormalen är inte på ytan Y utan den cirkelskivan x=0, (y-1)^2 + (z-2)^2<=2. Det blir ett "lock" i yz-planet då x = 0. Normalen ska vara riktad ut från kroppen alltså i riktning -x. därav N = (-1, 0, 0)
Haiku skrev:Enhetsnormalen är inte på ytan Y utan den cirkelskivan x=0, (y-1)^2 + (z-2)^2<=2. Det blir ett "lock" i yz-planet då x = 0. Normalen ska vara riktad ut från kroppen alltså i riktning -x. därav N = (-1, 0, 0)
jag fattar. Men fortsättningen på den här uppgiften är 
Om man lägger till ytor. Dvs i det här fallet .. Varför adderar man där på slutet, det borde väl vara minus?? Efter som vi la till ..
Vi vet att:
och vi har beräknat att:
vilket ger:
och så adderar vi på båda sidor: