Toppytor, bottnar osv...Gauss. Del 1.

Lösningen

Jag undrar mest varför man lägger till bottenyta och en toppyta?
En kon ser ju ut
1. Det finns väl ingen topp direkt? väldigt liten topp... (Räknas det en som en topp) Att man har en dvs en bottenarea är jag helt med på, men inte .....
2. Sedan, hur kan man se att normalen pekar ned, respektive upp? (antar att ned skrivs (0,0,-1) och uppåt (0,0,1)?) alltså nu menar jag på själva uppgiften, inte med det där med fingrarna xD. För det står ju "pekar bort" - ööhö, jaha..?? vart bort. kanske pekar horisontellt. Vad vet jag...
1) Det står "mellan planen". De har kapat toppen.
Hur kan dom peka åt olika håll? deras enhetsnormaler? Nä det är samma uppgift?
Laguna skrev:1) Det står "mellan planen". De har kapat toppen.
Okeeej såå om man kapar där då,
får man

Då har vi ju totalt 3 stycken saker att räkna på, den blåas botten, och toppen. Den grönas botten, right?
då är blåa botten,
blå toppen
gröna botten? eller?
hehe, sedan .. hurrrr ser man hur normalen pekar åt?
Normalerna ska peka antingen ut från kroppen eller in i kroppen, allihop. Eftersom man har sagt att normalerna från konytan ska peka bort från z-axeln, så måste toppytans normal peka upp och bottenytans normal peka ner.
Mängden
beskriver ytan på två raka elliptiska koner vars centrumlinje är parallell med z-axeln och vars spetsar möts i punkten . (Rita en figur för att få en uppfattning om hur mängden ser ut.)
Mängden är den del av mängden som ligger mellan de två planen vars ekvationer är och .
Laguna skrev:Normalerna ska peka antingen ut från kroppen eller in i kroppen, allihop. Eftersom man har sagt att normalerna från konytan ska peka bort från z-axeln, så måste toppytans normal peka upp och bottenytans normal peka ner.
När du säger toppytan, menar du då den gröna? dvs ? och ned för och

Albiki skrev:Mängden
beskriver ytan på två raka elliptiska koner vars centrumlinje är parallell med z-axeln och vars spetsar möts i punkten . (Rita en figur för att få en uppfattning om hur mängden ser ut.)
Mängden är den del av mängden som ligger mellan de två planen vars ekvationer är och .
Har jag ritat fel på min tidigare bild? ,;s
Det är otydligt i din bild vad du menar med toppytan. Du har två vågräta blå ytor - pilarna skall gå uppåt från den övre, och neråt från den undre. Den gröna pyramiden är inte inblandad alls (men den blåa stympade pyramidens toppyta är lika med den gröna pyramidens bottenyta).
Laguna skrev:Normalerna ska peka antingen ut från kroppen eller in i kroppen, allihop. Eftersom man har sagt att normalerna från konytan ska peka bort från z-axeln, så måste toppytans normal peka upp och bottenytans normal peka ner.
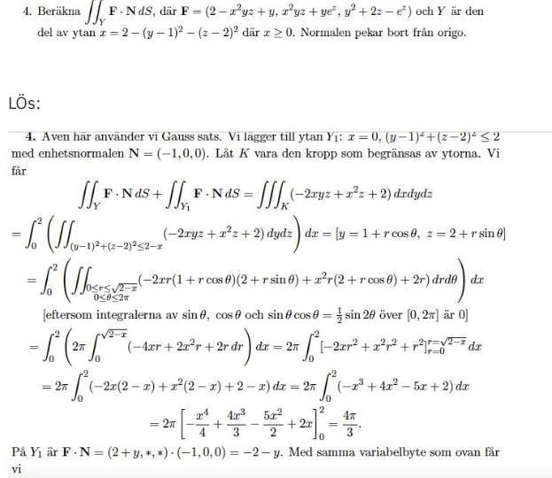
Och hur blir det med den här uppgiften $$\LARGE{OBS EN ANNAN UPPG. INTE SAMMA!}$$

Hur ser man normalen här då? varför blir det och inte (kan normalerna ha något i stil med (1,0,1) typ?)
Reglerna är så här, alltså: inte samma uppgift i flera trådar, och inte flera uppgifter i samma tråd.
Laguna skrev:Reglerna är så här, alltså: inte samma uppgift i flera trådar, och inte flera uppgifter i samma tråd.
Ja men det var någon som blockade min förra tråd när jag ville fråga om den här uppgiften.
(-1, 0, 0) blir det för att den tillagda ytan ligger i planet x = 0.
Även om det inte är så lätt att rita i tre dimensioner, så försök.
Smaragdalena skrev:Det är otydligt i din bild vad du menar med toppytan. Du har två vågräta blå ytor - pilarna skall gå uppåt från den övre, och neråt från den undre. Den gröna pyramiden är inte inblandad alls (men den blåa stympade pyramidens toppyta är lika med den gröna pyramidens bottenyta).
Aaaaa...... klart de blir samma, tänkte inte så långt. Haha!
mrlill_ludde skrev:Laguna skrev:Reglerna är så här, alltså: inte samma uppgift i flera trådar, och inte flera uppgifter i samma tråd.
Ja men det var någon som blockade min förra tråd när jag ville fråga om den här uppgiften.
Du borde inte ha kallat den "toppytor, bottnar, del 2" och sagt att det var en fortsättning. Det var en ny fråga om normaler, men du kunde ha väntat tills du förstod den här, så skulle kanske den nya lösa sig också.
Laguna skrev:mrlill_ludde skrev:Laguna skrev:Reglerna är så här, alltså: inte samma uppgift i flera trådar, och inte flera uppgifter i samma tråd.
Ja men det var någon som blockade min förra tråd när jag ville fråga om den här uppgiften.
Du borde inte ha kallat den "toppytor, bottnar, del 2" och sagt att det var en fortsättning. Det var en ny fråga om normaler, men du kunde ha väntat tills du förstod den här, så skulle kanske den nya lösa sig också.
det var väl det att jag fösökte dra ett något samband mellan dom, för där handlade det om på . Denna uppg handlade om .