Total massa av sfär med ytdensitet!
Hej, skulle behöva lite hjälp med uppgiften nedan: 
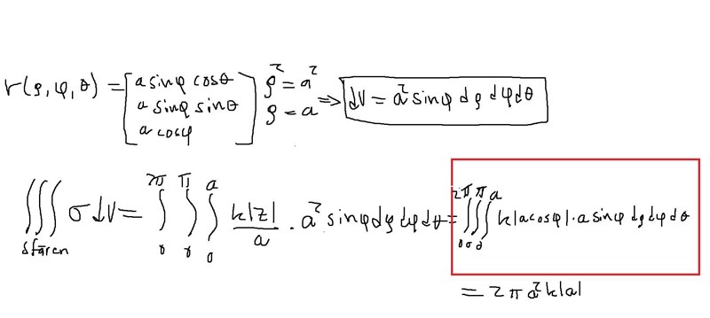
Jag vet att man borde använda sfäriska koordinater så att:
och att massan ges av följande formel:
Tacksam för all hjälp!
Radien på sfären är ...
Massan är
integrerat över sfären.
Hur blir ovanstående i sfäriska koordinater?
Dr. G skrev:Radien på sfären är ...
Massan är
integrerat över sfären.
Hur blir ovanstående i sfäriska koordinater?
Kan man lösa den såhär? Vet ej hur jag skall verifiera svaret.

Dr. G skrev:Radien på sfären är ...
Massan är
integrerat över sfären.
Hur blir ovanstående i sfäriska koordinater?
Lyckades lösa den nu! Tack för tipset!
wille1998 skrev:Dr. G skrev:Radien på sfären är ...
Massan är
integrerat över sfären.
Hur blir ovanstående i sfäriska koordinater?
Lyckades lösa den nu! Tack för tipset!
Hur gjorde du?
MichaelScott skrev:wille1998 skrev:Dr. G skrev:Radien på sfären är ...
Massan är
integrerat över sfären.
Hur blir ovanstående i sfäriska koordinater?
Lyckades lösa den nu! Tack för tipset!
Hur gjorde du?
Precis på samma sätt som du har gjort, tror du bara räknar fel i slutet.
wille1998 skrev:MichaelScott skrev:wille1998 skrev:Dr. G skrev:Radien på sfären är ...
Massan är
integrerat över sfären.
Hur blir ovanstående i sfäriska koordinater?
Lyckades lösa den nu! Tack för tipset!
Hur gjorde du?
Precis på samma sätt som du har gjort, tror du bara räknar fel i slutet. Jag fick det till 2*pi*a^2*k
Hmm, kan du dela din slutgiltiga integral med gränser och integrand? Skriver jag in den på Wolfram så får jag inte det du får.
Sfären är bara skalet.
MichaelScott räknar på ett solitt klot.
EDIT: men med fix radie a, samtidigt som det integreras i radiell led från 0 till a, så lite knas.