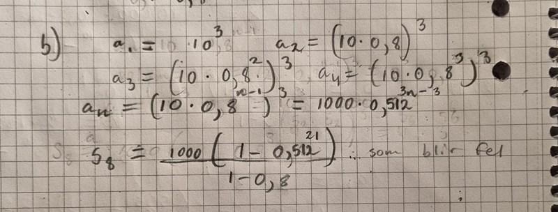
Totala volym av kuber i en geometrisk talföljd. Vad gör jag fel?
Gällande uppgift B)
Vad gör jag för fel?


Det du gör på tredje raden stämmer inte. Du kan inte både höja upp basen (0.8) till 3 och multiplicera in 3 i exponenten. Du får nöja dig med ett av dem =)
thedifference skrev:Det du gör på tredje raden stämmer inte. Du kan inte både höja upp basen (0.8) till 3 och multiplicera in 3 i exponenten. Du får nöja dig med ett av dem =)
Men även när jag skriver 0,8^21 där i S8 , blir det ändå fel. Jag får 4954 cm3 men facit är 2040 cm3 .
Ok, då lämnar jag över till någon som behärskar detta bättre. Är för rostig =)
Det ska nog vara 1 - 0,83 i nämnaren.
Laguna skrev:Det ska nog vara 1 - 0,83 i nämnaren.
Varför det? Jag fattar inte i facit gav de också ledtråd att k=0,8^3.

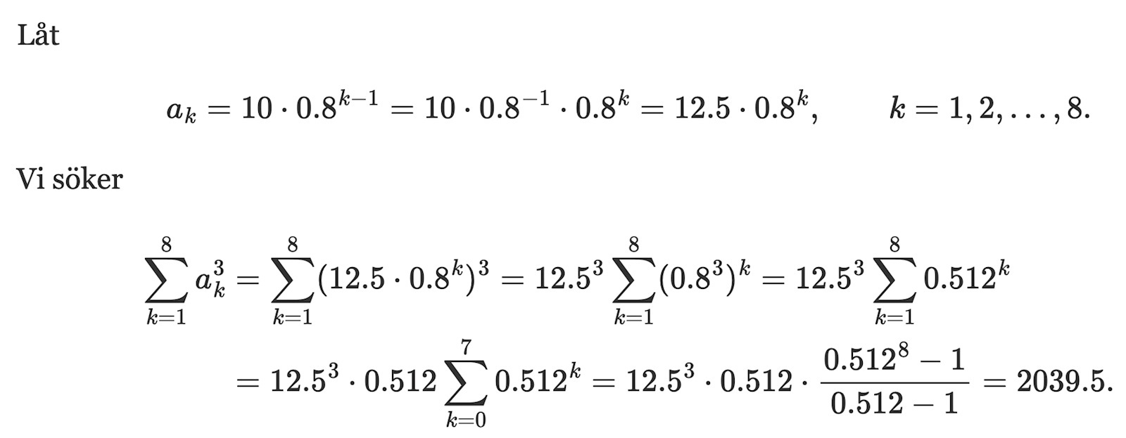
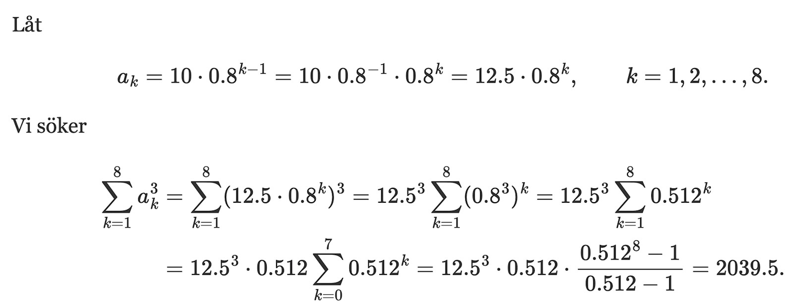
https://mathb.in/80271
Trinity2 skrev:
https://mathb.in/80271
Finns det inte något enklare sätt? Jag fattar hur de löste det, men uppgiften är inte så avancerad och lösningen är lite konstig.
Det blir 10 mindre än svaret på facit.
Jag hittade ett enkelt sätt. Det behövs inte längre något hjälp. Tack.
