0
svar
48
visningar
Soderstrom behöver inte mer hjälp
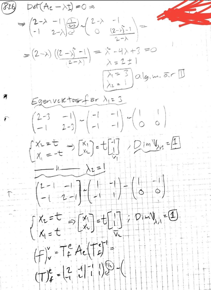
Transformationsmatris
Jag har gjort rätt på (a) och (b), bara det att i facit står det att egenvektor till är och då tror jag att dom valt ?? Om ja, då behöver jag hjälp med (c)

