0
svar
68
visningar
Soderstrom behöver inte mer hjälp
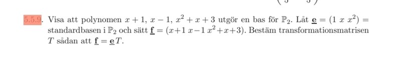
Transformationsmatrisen
Jag tror att jag har gjort rätt än så länge, men jag förstår inte vad jag ska göra sen? Kan inte tolka ...


Edit: Jag fick nog till det är matrisen som står bredvid standardbasen till i min bild.