1
svar
165
visningar
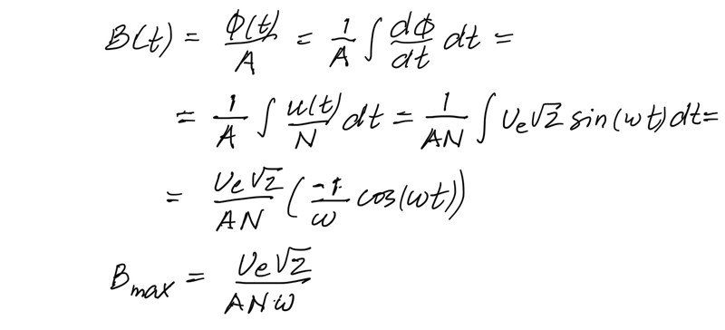
transformator
För att beräkna maximala flödestätheten i järnkärnan, hur gör jag det?
Info:
U=690V f=50Hz A=75cm2 Primära=250 varv Sekundära=1000 varv
sekundärspänning=2760V = 690*4=2760V
spänningsomsättning=1/4 = 1000/250=4
inducerad spänning per lindningsvarv=2,7V/varv = 2760V=2,7V/varv
