4
svar
185
visningar
Ellinor behöver inte mer hjälp
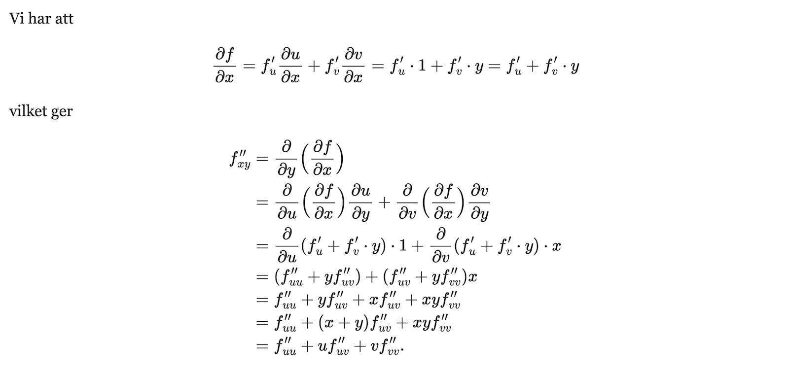
Transformera f''xy till de nya variablerna.
Hej! Jag har kört fast på den här uppgiften:

Så här långt har jag kommit:
Så jag har alltså förhoppningsvis lyckats beräkna förstaderivatan, men när det gäller andraderivatan så förstår jag inte hur jag ska gå tillväga. Jag har kollat i kurslitteraturen, men jag förstår inte förklaringen där.
Jättetacksam för tips!
Tack så mycket för svar! Men jag förstår fortfarande inte riktigt vad som händer...var kommer alla termer/faktorer ifrån? Vad är typ tankesättet? Och vad händer med y:t?
Ellinor skrev:Tack så mycket för svar! Men jag förstår fortfarande inte riktigt vad som händer...var kommer alla termer/faktorer ifrån? Vad är typ tankesättet? Och vad händer med y:t?
Jag tror de menar;

Tack så mycket för hjälpen!